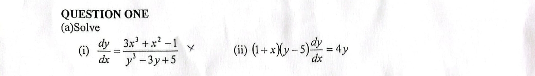
Question: QUESTION ONE ( a ) Solve ( i ) d y d x = 3 x 3 + x 2 - 1 y 3 -
QUESTION ONE
aSolve
i
ii
Step by Step Solution
There are 3 Steps involved in it
1 Expert Approved Answer
Step: 1 Unlock
Question Has Been Solved by an Expert!
Get step-by-step solutions from verified subject matter experts
Step: 2 Unlock
Step: 3 Unlock
