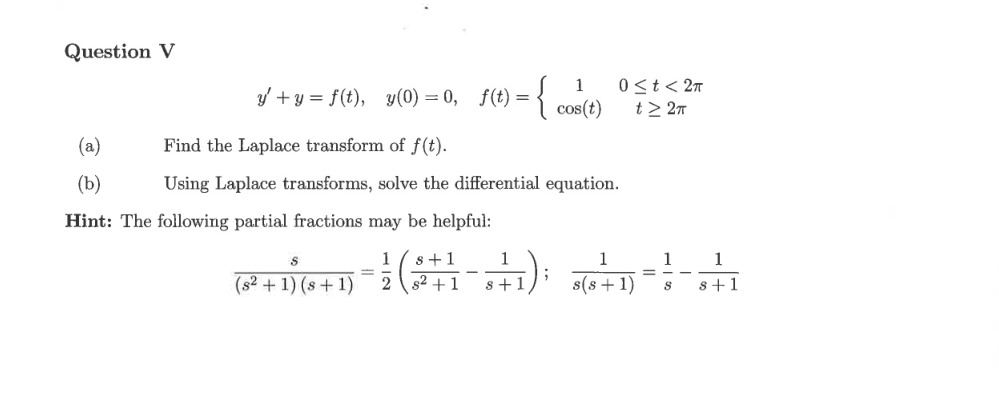
Question: Question V y ty = f(t), y(0) =0, f(t) = cos(t) 1 Ost 2x (a) Find the Laplace transform of f(t). Using Laplace transforms, solve

Step by Step Solution
There are 3 Steps involved in it
Get step-by-step solutions from verified subject matter experts
