Question: Questions (please show work) Issues Methods/Analysis Conclusion/Recommendations What method that I used and what conclusion or recommendations did I get. What is the Cost of




Questions (please show work)
-
Issues
-
Methods/Analysis
-
Conclusion/Recommendations
-
What method that I used and what conclusion or recommendations did I get.
-
What is the Cost of Equity?
-
Required Rate of Return?
-
Preferred stock vs Bonds
-
Assume a 40% tax rate
-
What is the beta estimate, Taylor's proposal good?
-
Are the assumptions of cost of capital/required rate of return appropriate? What are effects if it is too high or to low?
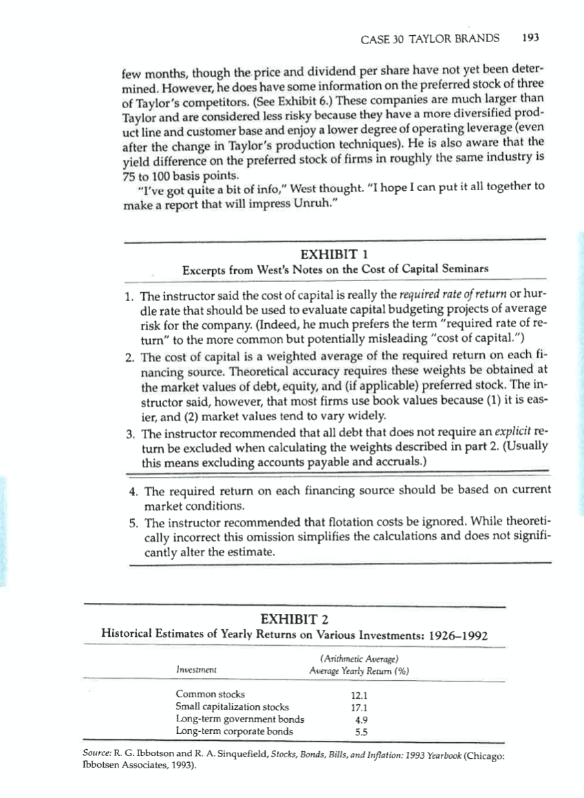
CA SE 30 TAYLOR BRANDS COST OF CAPITAL OR REQUIRED RATE OF RETURN The management of Taylor Brands has a philosophy of "better to be safe than sorry" when selecting a discount rate. At present the firm uses a 30 percent rate, which many company executives feel is unreasonably high and results in the fol- lowing difficulties. First, some projects considered to be worthwhile and impor- tant are rejected because their expected return is close to, but still below, the 30 percent minimum. Second, managers have a tendency to be overly optimistic in their cash flow projections in order to get their pet projects accepted. Third, there is the feeling that the rate is at best arbitrarily determined and at worst something that Trevor Unruh-Taylor's general manager-has "pulled out of a hat." ROBERT WEST Robert West is one of Taylor's more innovative and thoughtful executives. A few years ago he correctly perceived that a successful firm in the food wholesalers industry-Taylor's main industrywould have to expand into nonfood items. After extensive study, West recommended that Taylor add such products as light hardware and paper plates to the variety of goods it sells to grocery stores. This strategy worked remarkably well. Taylor's customers benefited because they dealt with fewer vendors and invoices. Taylor gained customers (many were referrals) and also reduced its unit cost by making more efficient use of its trucking capacity West has developed an interest in the financial side of the business. During the past year he attended two seminars on cost-of-capital estimation, using his per- sonal leave time and at his own expense. He has been eager to apply this newly ac- quired knowledge, and after a number of discussions Unruh told West to "deter- 192 PART VI CAPITAL STRUCTURE mine Taylor's cost of capital and make a formal report on your findings." It seemed to West that this was a major coup since Unruh paid little attention to the financial side of the business. He was told privately, however, that Unruh is "really unim- pressed and bored with the entire idea; he assigned you this project because he knew that you were eager to do it, and Unruh admires your initiative." West was told quite bluntly that "nothing will come of your efforts." Initially deflated, West became determined to do a thorough evaluation, and he felt sure that he could convince Unruh of the importance of obtaining an accurate cost of capital. "At the very least," West thought, "a formal investigation of our cost of capital will eliminate the perception that it is arbitrarily determined." In preparation for making the estimate West reviewed his notes from one of the seminars he had attended. (See Exhibit 1.) He recalled the instructor em- phasizing that estimating the required return on equity was especially delicate; and although the instructor gave two models for measuring this return, he em- phasized there was "no substitute for good judgment." FINANCIAL INFORMATION West also collected some financial information that he felt was relevant to the analysis. He knows the company has recently obtained a bank note at 7 percent and that the company's bonds were originally issued at 7 percent but are cur- rently selling at a discount with a yield to maturity of about 8 percent. Taylor's EPS has grown quite impressively in the last five years (see Exhibit 3), but West knows Unruh encouraged a relatively constant dividend per share over this period since he preferred to reinvest much of the company's earnings. West doesn't believe this will continue since Unruh is under pressure from ma- jor stockholders to bring dividend growth in line with earnings growth. Nor is it likely that past EPS growth can be maintained. First, during this period the in- dustry itself had unusual prosperity. Second, some of this past growth was a re- sult of the firm's movement into nonfood items, and these opportunities are vir- tually exhausted. Third, many corporate insiders felt Taylor had been a bit lucky. West decides it is reasonable to suppose that Taylor will implement a 70 per- cent payout ratio; after all, it makes no sense to retain a large proportion of earn- ings when investment opportunities are not as plentiful as in the past. He also feels that the company will achieve an average return of 12 percent on any re- tained earnings. Though these figures on payout and return are something of "guesstimates," West was able to find support for these numbers among Taylor's managers. Most financial analysts consider the industry to be of average risk, and in fact, beta estimates for Taylor range from .8 to 1.2. West decides, however, that these estimates are a bit high, because the firm is in the process of altering production techniques that will reduce the company's degree of operating leverage. And there is another difficulty. At present Taylor has no preferred stock in its capital structure. But West knows that there are plans to issue some in the next CASE 30 TAYLOR BRANDS 193 few months, though the price and dividend per share have not yet been deter- mined. However, he does have some information on the preferred stock of three of Taylor's competitors. (See Exhibit 6.) These companies are much larger than Taylor and are considered less risky because they have a more diversified prod- uct line and customer base and enjoy a lower degree of operating leverage (even after the change in Taylor's production techniques). He is also aware that the yield difference on the preferred stock of firms in roughly the same industry is 75 to 100 basis points. "I've got quite a bit of info," West thought. "I hope I can put it all together to make a report that will impress Unruh." EXHIBIT 1 Excerpts from West's Notes on the Cost of Capital Seminars 1. The instructor said the cost of capital is really the required rate of return or hur- dle rate that should be used to evaluate capital budgeting projects of average risk for the company. (Indeed, he much prefers the term "required rate of re- turn" to the more common but potentially misleading "cost of capital.") 2. The cost of capital is a weighted average of the required return on each fi- nancing source. Theoretical accuracy requires these weights be obtained at the market values of debt, equity, and (if applicable) preferred stock. The in- structor said, however, that most firms use book values because (1) it is eas- ier, and (2) market values tend to vary widely. 3. The instructor recommended that all debt that does not require an explicit re- turn be excluded when calculating the weights described in part 2. (Usually this means excluding accounts payable and accruals.) 4. The required return on each financing source should be based on current market conditions. 5. The instructor recommended that flotation costs be ignored. While theoreti- cally incorrect this omission simplifies the calculations and does not signifi- cantly alter the estimate. EXHIBIT 2 Historical Estimates of Yearly Returns on Various Investments: 1926-1992 Investment (Arithmetic Average) Average Yearly Retum (%) Common stocks Small capitalization stocks Long-term government bonds Long-term corporate bonds 12.1 17.1 4.9 5.5 Source: R. G. Ibbotson and R. A. Sinquefield, Stocks, Bonds, Bills, and Inflation: 1993 Yearbook (Chicago: Ibbotsen Associates, 1993). EXHIBIT 3 EPS and DPS Information on Taylor Year EPS Change (%) DPS Change (%) 1991 1992 1993 1994 1995 1996 (present) $0.73 0.82 1.14 1.85 2.35 2.83 12.3 39.0 62.3 27.0 $0.40 0.40 0.40 0.41 0.43 0.45 EXHIBIT 4 Financial Information Compiled by West 5.5% 7% Treasury bill rate Long-term government bond rate Long-term corporate bond rate Current annual yield on Taylor's long-term debt Current dividend on Taylor's stock Price range of Taylor's stock, previous year Rate on recent short-term loan (note) Taylor's tax rate 8% 8% $0.45 28-36 7% 40% EXHIBIT 5 Taylor's Financial Structure at Book Values ($000s) Accounts payable Notes payable Accruals and other current liabilities Bonds Common stock Retained earnings Total liabilities and equity 45,000 16,000 8,000 89,000 58,000 72,000 288,000 EXHIBIT 6 Preferred Stock Information on Taylor's Competitors Firm Original Price of Preferred Current Price of Preferred Dividend $50 Super Foods Easton Westgate $41 $40 $31 $3.00 $2.25 $3.00 $46 $45 CA SE 30 TAYLOR BRANDS COST OF CAPITAL OR REQUIRED RATE OF RETURN The management of Taylor Brands has a philosophy of "better to be safe than sorry" when selecting a discount rate. At present the firm uses a 30 percent rate, which many company executives feel is unreasonably high and results in the fol- lowing difficulties. First, some projects considered to be worthwhile and impor- tant are rejected because their expected return is close to, but still below, the 30 percent minimum. Second, managers have a tendency to be overly optimistic in their cash flow projections in order to get their pet projects accepted. Third, there is the feeling that the rate is at best arbitrarily determined and at worst something that Trevor Unruh-Taylor's general manager-has "pulled out of a hat." ROBERT WEST Robert West is one of Taylor's more innovative and thoughtful executives. A few years ago he correctly perceived that a successful firm in the food wholesalers industry-Taylor's main industrywould have to expand into nonfood items. After extensive study, West recommended that Taylor add such products as light hardware and paper plates to the variety of goods it sells to grocery stores. This strategy worked remarkably well. Taylor's customers benefited because they dealt with fewer vendors and invoices. Taylor gained customers (many were referrals) and also reduced its unit cost by making more efficient use of its trucking capacity West has developed an interest in the financial side of the business. During the past year he attended two seminars on cost-of-capital estimation, using his per- sonal leave time and at his own expense. He has been eager to apply this newly ac- quired knowledge, and after a number of discussions Unruh told West to "deter- 192 PART VI CAPITAL STRUCTURE mine Taylor's cost of capital and make a formal report on your findings." It seemed to West that this was a major coup since Unruh paid little attention to the financial side of the business. He was told privately, however, that Unruh is "really unim- pressed and bored with the entire idea; he assigned you this project because he knew that you were eager to do it, and Unruh admires your initiative." West was told quite bluntly that "nothing will come of your efforts." Initially deflated, West became determined to do a thorough evaluation, and he felt sure that he could convince Unruh of the importance of obtaining an accurate cost of capital. "At the very least," West thought, "a formal investigation of our cost of capital will eliminate the perception that it is arbitrarily determined." In preparation for making the estimate West reviewed his notes from one of the seminars he had attended. (See Exhibit 1.) He recalled the instructor em- phasizing that estimating the required return on equity was especially delicate; and although the instructor gave two models for measuring this return, he em- phasized there was "no substitute for good judgment." FINANCIAL INFORMATION West also collected some financial information that he felt was relevant to the analysis. He knows the company has recently obtained a bank note at 7 percent and that the company's bonds were originally issued at 7 percent but are cur- rently selling at a discount with a yield to maturity of about 8 percent. Taylor's EPS has grown quite impressively in the last five years (see Exhibit 3), but West knows Unruh encouraged a relatively constant dividend per share over this period since he preferred to reinvest much of the company's earnings. West doesn't believe this will continue since Unruh is under pressure from ma- jor stockholders to bring dividend growth in line with earnings growth. Nor is it likely that past EPS growth can be maintained. First, during this period the in- dustry itself had unusual prosperity. Second, some of this past growth was a re- sult of the firm's movement into nonfood items, and these opportunities are vir- tually exhausted. Third, many corporate insiders felt Taylor had been a bit lucky. West decides it is reasonable to suppose that Taylor will implement a 70 per- cent payout ratio; after all, it makes no sense to retain a large proportion of earn- ings when investment opportunities are not as plentiful as in the past. He also feels that the company will achieve an average return of 12 percent on any re- tained earnings. Though these figures on payout and return are something of "guesstimates," West was able to find support for these numbers among Taylor's managers. Most financial analysts consider the industry to be of average risk, and in fact, beta estimates for Taylor range from .8 to 1.2. West decides, however, that these estimates are a bit high, because the firm is in the process of altering production techniques that will reduce the company's degree of operating leverage. And there is another difficulty. At present Taylor has no preferred stock in its capital structure. But West knows that there are plans to issue some in the next CASE 30 TAYLOR BRANDS 193 few months, though the price and dividend per share have not yet been deter- mined. However, he does have some information on the preferred stock of three of Taylor's competitors. (See Exhibit 6.) These companies are much larger than Taylor and are considered less risky because they have a more diversified prod- uct line and customer base and enjoy a lower degree of operating leverage (even after the change in Taylor's production techniques). He is also aware that the yield difference on the preferred stock of firms in roughly the same industry is 75 to 100 basis points. "I've got quite a bit of info," West thought. "I hope I can put it all together to make a report that will impress Unruh." EXHIBIT 1 Excerpts from West's Notes on the Cost of Capital Seminars 1. The instructor said the cost of capital is really the required rate of return or hur- dle rate that should be used to evaluate capital budgeting projects of average risk for the company. (Indeed, he much prefers the term "required rate of re- turn" to the more common but potentially misleading "cost of capital.") 2. The cost of capital is a weighted average of the required return on each fi- nancing source. Theoretical accuracy requires these weights be obtained at the market values of debt, equity, and (if applicable) preferred stock. The in- structor said, however, that most firms use book values because (1) it is eas- ier, and (2) market values tend to vary widely. 3. The instructor recommended that all debt that does not require an explicit re- turn be excluded when calculating the weights described in part 2. (Usually this means excluding accounts payable and accruals.) 4. The required return on each financing source should be based on current market conditions. 5. The instructor recommended that flotation costs be ignored. While theoreti- cally incorrect this omission simplifies the calculations and does not signifi- cantly alter the estimate. EXHIBIT 2 Historical Estimates of Yearly Returns on Various Investments: 1926-1992 Investment (Arithmetic Average) Average Yearly Retum (%) Common stocks Small capitalization stocks Long-term government bonds Long-term corporate bonds 12.1 17.1 4.9 5.5 Source: R. G. Ibbotson and R. A. Sinquefield, Stocks, Bonds, Bills, and Inflation: 1993 Yearbook (Chicago: Ibbotsen Associates, 1993). EXHIBIT 3 EPS and DPS Information on Taylor Year EPS Change (%) DPS Change (%) 1991 1992 1993 1994 1995 1996 (present) $0.73 0.82 1.14 1.85 2.35 2.83 12.3 39.0 62.3 27.0 $0.40 0.40 0.40 0.41 0.43 0.45 EXHIBIT 4 Financial Information Compiled by West 5.5% 7% Treasury bill rate Long-term government bond rate Long-term corporate bond rate Current annual yield on Taylor's long-term debt Current dividend on Taylor's stock Price range of Taylor's stock, previous year Rate on recent short-term loan (note) Taylor's tax rate 8% 8% $0.45 28-36 7% 40% EXHIBIT 5 Taylor's Financial Structure at Book Values ($000s) Accounts payable Notes payable Accruals and other current liabilities Bonds Common stock Retained earnings Total liabilities and equity 45,000 16,000 8,000 89,000 58,000 72,000 288,000 EXHIBIT 6 Preferred Stock Information on Taylor's Competitors Firm Original Price of Preferred Current Price of Preferred Dividend $50 Super Foods Easton Westgate $41 $40 $31 $3.00 $2.25 $3.00 $46 $45
Step by Step Solution
There are 3 Steps involved in it
Get step-by-step solutions from verified subject matter experts
