Question: R STUDIO Write a function to compute the variance and skewness of a numeric vector. Variance is defined as where xx is the sample mean.
R STUDIO
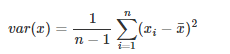
Write a function to compute the variance and skewness of a numeric vector. Variance is defined as

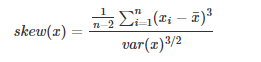
where xx is the sample mean. Skewness is defined as

(2) Write a loop to apply the your function to columns of the iris dataset whose data type is numeric, and print the results in the loop.
1 r(s) (, - )2 )? 1 skew(x) = 22 (; 7) var(2) 3/2
Step by Step Solution
There are 3 Steps involved in it
Get step-by-step solutions from verified subject matter experts
