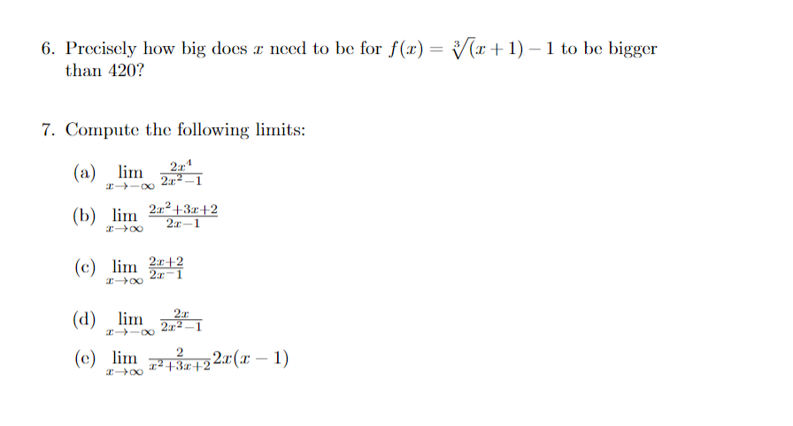
Question: really need help on these 6. Precisely how big does :1: need to be for f{::'] = WT + 1] 1 to be bigger than

really need help on these
![need to be for f{::'] = WT + 1] 1 to be](https://s3.amazonaws.com/si.experts.images/answers/2024/06/666d568b876a7_611666d568b83afb.jpg)
6. Precisely how big does :1: need to be for f{::'] = WT + 1] 1 to be bigger than 420? 7. Compute the following; limit: . . d (a) 3111:; T2311 (1)) llim ++2\""2 3" 2 434$ 2.31
Step by Step Solution
There are 3 Steps involved in it
Get step-by-step solutions from verified subject matter experts
