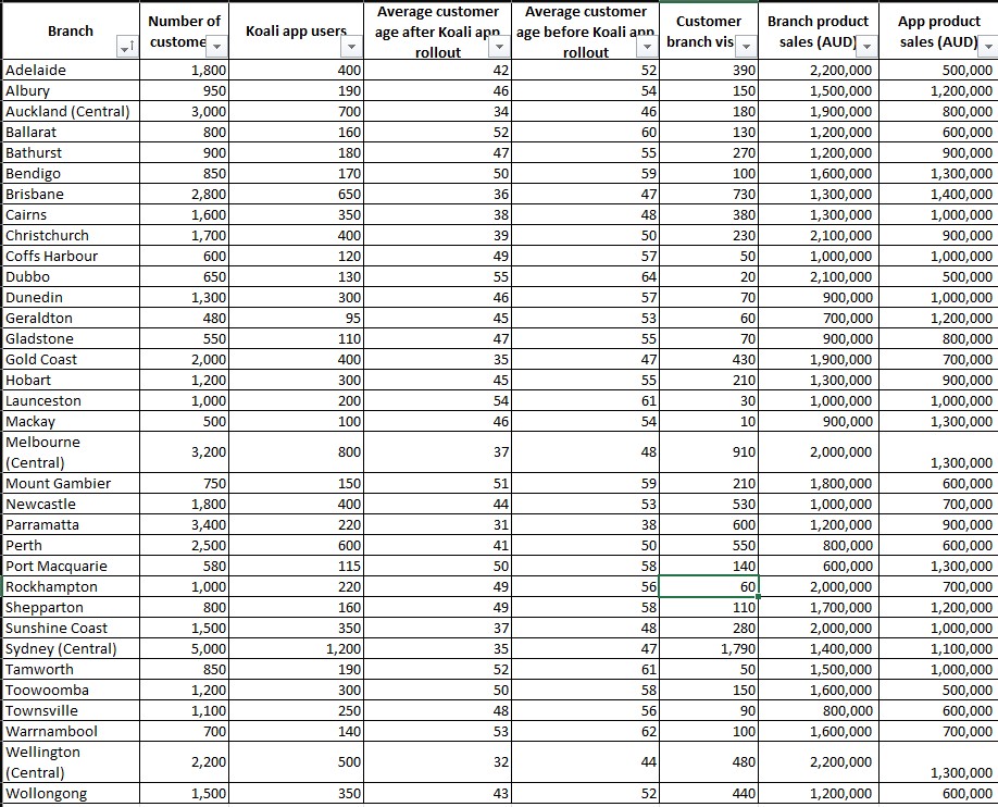
Question: Recommend two ( 2 ) additional data sources in the attached table that should be considered when making an assessment of Koali app's success.
Recommend two additional data sources in the attached table that should be considered when making an assessment of Koali app's success.
Step by Step Solution
There are 3 Steps involved in it
1 Expert Approved Answer
Step: 1 Unlock
Question Has Been Solved by an Expert!
Get step-by-step solutions from verified subject matter experts
Step: 2 Unlock
Step: 3 Unlock
