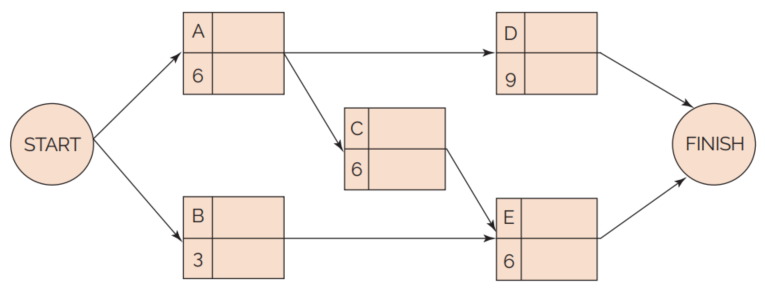
Question: Redraw the following schedule network using Precedence Diagramming Method (PDM) and calculate Earliest Start (ES), Earliest Finish (EF), Latest Start (LS), and Latest Finish (LF)
Redraw the following schedule network using Precedence Diagramming Method (PDM) and calculate Earliest Start (ES), Earliest Finish (EF), Latest Start (LS), and Latest Finish (LF) for each activity.

Step by Step Solution
There are 3 Steps involved in it
Get step-by-step solutions from verified subject matter experts
