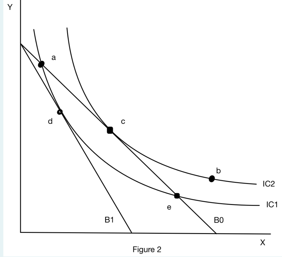
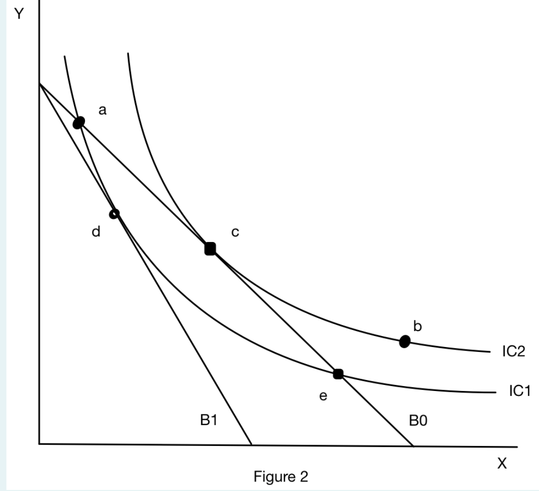
Question: Referring to the graph below (Figure 2)showing a consumer's initial budget line (labeled B0) and new budget line (labeled B1) for two goods, X and

Referring to the graph below (Figure 2)showing a consumer's initial budget line (labeled B0) and new budget line (labeled B1) for two goods, X and Y, and two different indifference curves (IC1-IC2).

Step by Step Solution
There are 3 Steps involved in it
Get step-by-step solutions from verified subject matter experts
