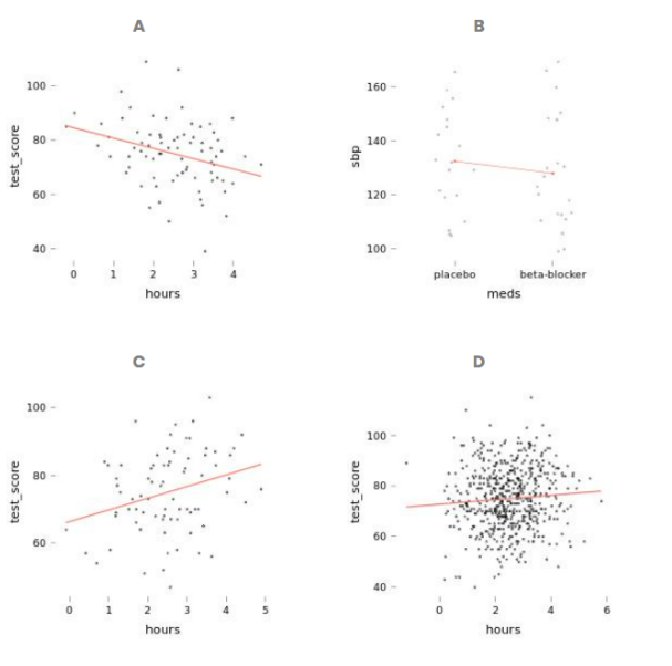
Question: Regression/Correlation (Practice Mode) For this assignment, you will be analyzing the outcome variable test_score and the independent variable will be hours, which is short

Regression/Correlation (Practice Mode) For this assignment, you will be analyzing the outcome variable "test_score" and the independent variable will be "hours," which is short for "hours studied". What is the correlation coefficient? How much do we expect test score to increase for every hour people study? Suppose someone studied for zero hours. What do we expect their test score to be? What is the bayes factor for the regression model? What is the p-value? Plot the data. Which of the above plots looks like yours? A A B test_score test_score 100- 80 100- 80 60- 40- 0 1 " ' 2 hours 3 A 2 3 hours test_score 100- 80 60- sbp 160- 140- 120- 100- B placebo beta-blocker meds 40 40 0 2 hours
Step by Step Solution
There are 3 Steps involved in it
Get step-by-step solutions from verified subject matter experts
