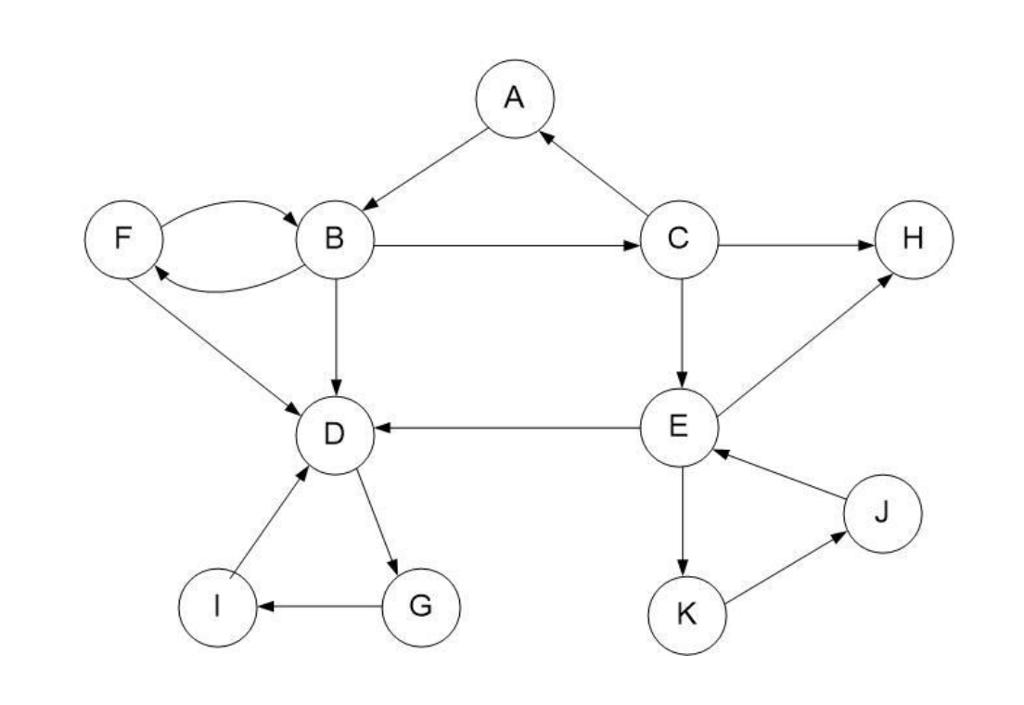
Question: Remove all the back edges from the graph so it becomes a DAG. Perform a depth-first search recording the start and finish times. Using those
Remove all the back edges from the graph so it becomes a DAG. Perform a depth-first search recording the start and finish times. Using those finish times, provide the topological order that is produced. Provide one breadth-first topological order for that graph.
Step by Step Solution
There are 3 Steps involved in it
Get step-by-step solutions from verified subject matter experts
