Question: Repeat the discrete transform, f(x)=2x sampled at x0=0, x1=1, x2=2, and x3=3. You must show as least as much detail . Please Show work thank
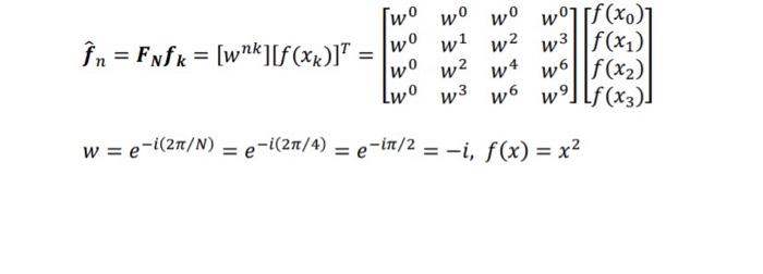
Repeat the discrete transform, f(x)=2x sampled at x0=0, x1=1, x2=2, and x3=3. You must show as least as much detail .
Please Show work thank you
Final Ans: [12 -4+4i -4 -4-4i]^T
f^n=FNfk=[wnk][f(xk)]T=w0w0w0w0w0w1w2w3w0w2w4w6w0w3w6w9f(x0)f(x1)f(x2)f(x3) w=ei(2/N)=ei(2/4)=ei/2=i,f(x)=x2
Step by Step Solution
There are 3 Steps involved in it
Get step-by-step solutions from verified subject matter experts
