Question: Results Correlation Pearson's Correlations Variable 1. Attitude n Pearson's r p-value Attitude Intention 8 | | 1 2. Intention n Pearson's r p-value *p





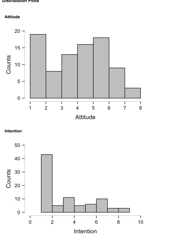
Results Correlation Pearson's Correlations Variable 1. Attitude n Pearson's r p-value Attitude Intention 8 | | 1 2. Intention n Pearson's r p-value *p < .05, ** p < .01, *** p < .001 86 0.736*** < .001 Descriptive Statistics Descriptive Statistics Attitude Intention Valid 86 86 Missing 0 0 Mean 3.984 3.225 Std. Deviation 1.890 2.400 Minimum 1.000 1.000 Maximum 7.667 9.000 Boxplots Attitude Attitude 8 7 6 5 + 3 2 1 T T Intention Intention 10- 8 0 4 2 0 Total Total Attitude 20 Counts 15- T 10 10 5 T 0 T T 1 2 3 4 5 6 7 8 Attitude Intention 50- T 40 40 Counts 30 T T 20 20 10 L 0- T T T 0 2 4 6 8 10 Intention Intention Scatter Plots Attitude -Intention 10- 8- 6- 4- 2-8 0 2 4 6 8 Attitude 12 10 8 Sample Quantiles 6 4 2 0 -2 -4 -3 -2 -1 0 1 2 3 Intention Sample Quantiles 15 10 5 -5 T Theoretical Quantiles -10 1 -3 -2 -1 0 1 2 3 Theoretical Quantiles
Step by Step Solution
There are 3 Steps involved in it
Get step-by-step solutions from verified subject matter experts
