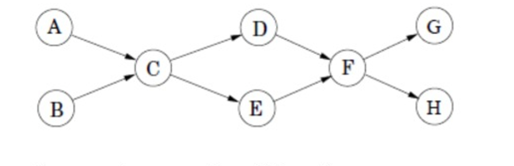
Question: Run the DFS - based topological ordering algorithm on the following graph. When - ever you have a choice of vertices to explore, always pick
Run the DFSbased topological ordering algorithm on the following graph. When
ever you have a choice of vertices to explore, always pick the one that appears first in alphabetical order.
a Indicate the pre and post numbers of the nodes.
b What are the sources and sinks of the graph?
c Write down one topological ordering found by the algorithm.
d How many topological orderings does this graph have?
Step by Step Solution
There are 3 Steps involved in it
1 Expert Approved Answer
Step: 1 Unlock
Question Has Been Solved by an Expert!
Get step-by-step solutions from verified subject matter experts
Step: 2 Unlock
Step: 3 Unlock
