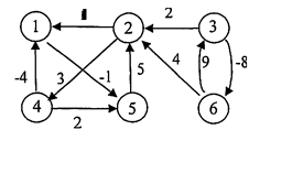
Question: Run the Floyd-Warshall algorithm on the following weighted, directed graph. Show the matrix n that results for each iteration of the outer loop. 8 3
Run the Floyd-Warshall algorithm on the following weighted, directed graph. Show the matrix n

8 3 6 2 2 3 -( 4 -4 1
Step by Step Solution
There are 3 Steps involved in it
Get step-by-step solutions from verified subject matter experts
