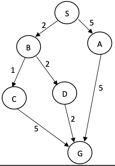
Question: S 2 5 A B 2 1 5 D 2 5 G node S A B D G h1 0 0 0 0 0 0



S 2 5 A B 2 1 5 D 2 5 G node S A B D G h1 0 0 0 0 0 0 H2 h3 5 6 35 4 2 5 3 2 5 0 0 (c) [6] A * algorithm using h1 heuristic function c1) c2) c3) (d) [6] A * algorithm using h2 heuristic function d) d2) d3) (e) [6] A * algorithm using h2 heuristic function e) e2 e3)
Step by Step Solution
There are 3 Steps involved in it
Get step-by-step solutions from verified subject matter experts
