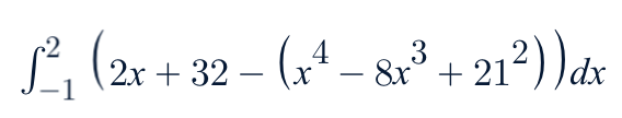
Question: S (2x + 32- (x - 8x + 21))dx 3
S (2x + 32- (x - 8x + 21))dx 3
Step by Step Solution
There are 3 Steps involved in it
Get step-by-step solutions from verified subject matter experts
