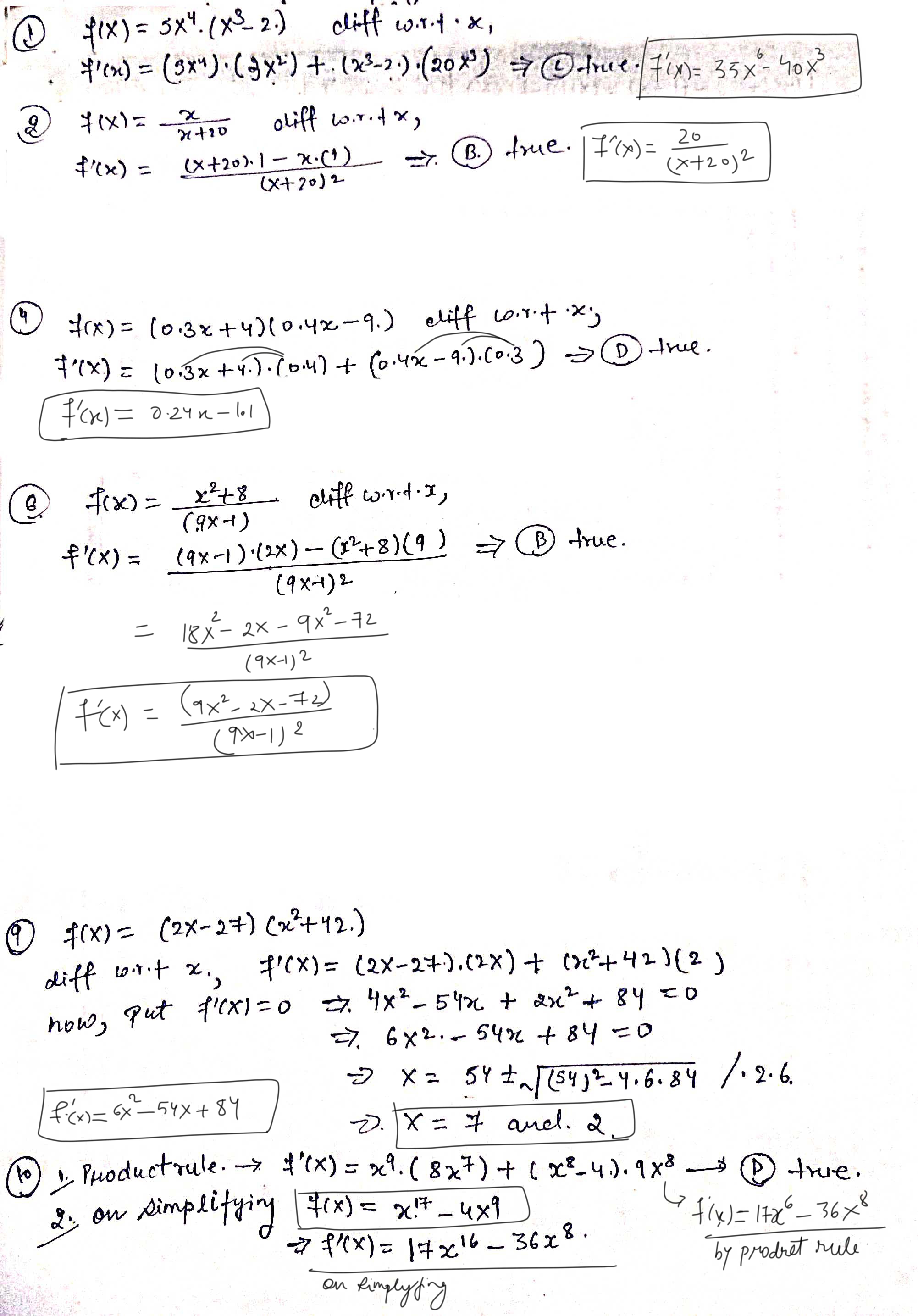
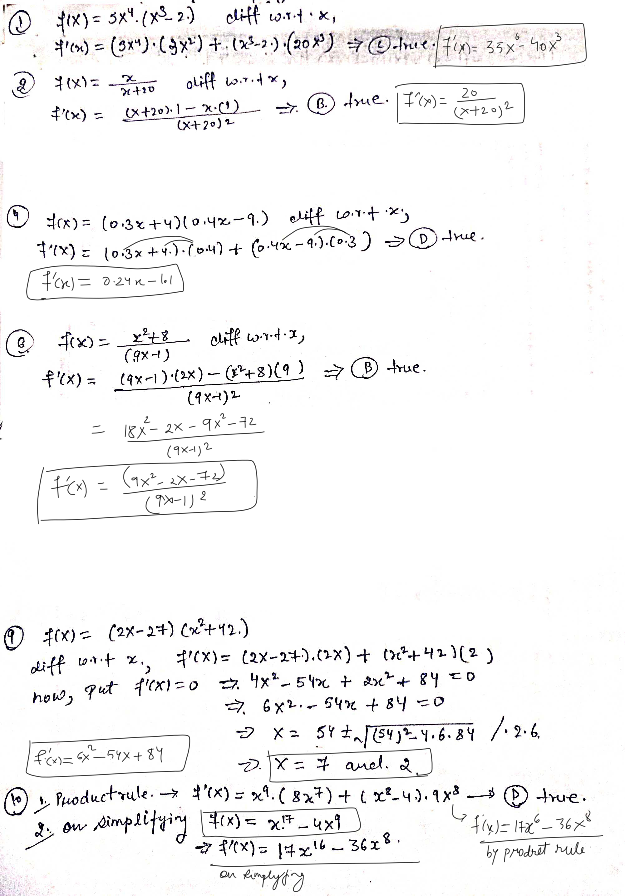
Question: Safari File Edit View History Bookmarks Window Help O US O Q 8 0 Fri Dec 8 7:34 AM [ ] v O mylab.pearson.com C

![Q 8 0 Fri Dec 8 7:34 AM [ ] v O](https://s3.amazonaws.com/si.experts.images/answers/2024/06/666817d121f34_872666817d0eaee0.jpg)














![8 7:34 AM [ ] v O mylab.pearson.com C 88 G Assignments](https://s3.amazonaws.com/si.experts.images/answers/2024/06/666817d7858a9_879666817d758868.jpg)







![Question 2 OA. (x)(1) -(x+20)(1) [x] O Question 3 O B. (x+](https://s3.amazonaws.com/si.experts.images/answers/2024/06/666817db677fc_883666817db40b05.jpg)
![20)(1) - (x)(1) [x + 20]- O Question 4 (x+20)(1) -(x)(1) O](https://s3.amazonaws.com/si.experts.images/answers/2024/06/666817dc03470_883666817dbce6fb.jpg)
![c. Question 5 OD. (x)(1) -(x+20)(1) [x + 20]- O Question 6](https://s3.amazonaws.com/si.experts.images/answers/2024/06/666817dc8116c_884666817dc5a166.jpg)


![O Q 8 0 Fri Dec 8 7:36 AM [ ] v](https://s3.amazonaws.com/si.experts.images/answers/2024/06/666817ddc76a9_885666817dd9f200.jpg)











![7:36 AM [ ] v O mylab.pearson.com C 88 G Assignments Upload](https://s3.amazonaws.com/si.experts.images/answers/2024/06/666817e3c2908_891666817e38b740.jpg)










Safari File Edit View History Bookmarks Window Help O US O Q 8 0 Fri Dec 8 7:34 AM [ ] v O mylab.pearson.com C 88 G Assignments Upload Assignment: Wri... Bb https://learn-us-east-1-... P Do Homework - HW CH... Course Hero will Content Plagiarism Checker Fre... MATH 2040 B Fall 2023 DONIA Alzoubi 12/08/23 7:33 AM ? Homework: HW CH 10.3 Question 1, 10.3.9-Setup & Solve HW Score: 0%, 0 of 15 points Part 1 of 2 Points: 0 of 1 Save K Find f'(x) and simplify. Question list f ( x ) = 5x4 (x3 -2) O Question 1 Which of the following shows the correct application of the product rule? O Question 2 O A. (5x4 ) (3x2 ) - (x3 -2) (20x3 ) O B. (3x2) (20x3 ) O Question 3 O c. (5x4) (3x2) + (x3- 2) (20x3 ) O D. (5x4) (20x3 ) + (x3 - 2) (3x2) O Question 4 Question 5 O Question 6 O Question 7 O Question 8 Question a Ask my instructor Clear all Check answerSafari File Edit View History Bookmarks Window Help O US O Q 8 0 Fri Dec 8 7:34 AM [ ] v O mylab.pearson.com C 88 G Assignments Upload Assignment: Wri. Bb https://learn-us-east-1-... P Do Homework - HW CH... Course Hero will Content Plagiarism Checker Fre... MATH 2040 B Fall 2023 DONIA Alzoubi 12/08/23 7:33 AM ? Homework: HW CH 10.3 Question 2, 10.3.13-Setup & Solve HW Score: 0%, 0 of 15 points Part 1 of 2 Points: 0 of 1 Save K Find f'(x) and simplify. Question list f(x) = - X x + 20 O Question 1 Which of the following shows the correct application of the quotient rule? O Question 2 OA. (x)(1) -(x+20)(1) [x] O Question 3 O B. (x+ 20)(1) - (x)(1) [x + 20]- O Question 4 (x+20)(1) -(x)(1) O c. Question 5 OD. (x)(1) -(x+20)(1) [x + 20]- O Question 6 O Question 7 O Question 8 Question a Ask my instructor Clear all Check answerSafari File Edit View History Bookmarks Window Help O US O Q 8 0 Fri Dec 8 7:36 AM [ ] v O mylab.pearson.com C 88 G Assignments Upload Assignment: Wri... Bb https://learn-us-east-1-... P Do Homework - HW CH... Course Hero will Content Plagiarism Checker Fre... MATH 2040 B Fall 2023 DONIA Alzoubi 12/08/23 7:36 AM Homework: HW CH 10.3 Question 3, 10.3.13 HW Score: 0%, 0 of 15 points Points: 0 of 1 Save Find f'(x). Question list K f ( x ) = _ X x - 1 O Question 1 f' (x ) = 0 O Question 2 (Type an exact answer.) O Question 3 O Question 4 Question 5 O Question 6 O Question 7 O Question 8 Question a Help me solve this View an example Ask my instructor Clear all Check answerSafari File Edit View History Bookmarks Window Help O US O Q 8 0 Fri Dec 8 7:36 AM [ ] v O mylab.pearson.com C 88 G Assignments Upload Assignment: Wri... Bb https://learn-us-east-1-... P Do Homework - HW CH... Course Hero will Content Plagiarism Checker Fre... MATH 2040 B Fall 2023 DONIA Alzoubi 12/08/23 7:36 AM Homework: HW CH 10.3 Question 4, 10.3.23-Setup & Solve HW Score: 0%, 0 of 15 points Part 1 of 2 Points: 0 of 1 Save Question list K Find f'(x) and simplify. f(x) = (0.3x + 4)(0.4x - 9) O Question 1 Which of the following shows the correct application of the product rule? O Question 2 O A. (0.3x + 4)(0.4) - (0.4x - 9)(0.3) O B. (0.3x + 4)(0.3) + (0.4x - 9)(0.4) O Question 3 O c. (0.4)(0.3) O D. (0.3x + 4)(0.4) + (0.4x -9)(0.3) O Question 4 Question 5 O Question 6 O Question 7 O Question 8 Question a Ask my instructor Clear all Check answerSafari File Edit View History Bookmarks Window Help O US O Q 8 0 Fri Dec 8 7:36 AM [ ] v O mylab.pearson.com C 88 G Assignments Upload Assignment: Wri... Bb https://learn-us-east-1-... P Do Homework - HW CH... Course Hero will Content Plagiarism Checker Fre... MATH 2040 B Fall 2023 DONIA Alzoubi 12/08/23 7:36 AM Homework: HW CH 10.3 Question 5, 10.3.23 HW Score: 0%, 0 of 15 points Points: 0 of 1 Save Question list K Find f'(x). f(x) = (0.7x + 9)(0.8x - 2) O Question 1 F' ( x ) = 0 O Question 2 O Question 3 O Question 4 Question 5 O Question 6 O Question 7 O Question 8 Question a Help me solve this View an example Ask my instructor Clear all Check answerSafari File Edit View History Bookmarks Window Help O US O Q 8 0 Fri Dec 8 7:36 AM [ ] v O mylab.pearson.com C 88 G Assignments Upload Assignment: Wri... Bb https://learn-us-east-1-... P Do Homework - HW CH... Course Hero will Content Plagiarism Checker Fre... MATH 2040 B Fall 2023 DONIA Alzoubi 12/08/23 7:36 AM Homework: HW CH 10.3 Question 6, 10.3.25-Setup & Solve HW Score: 0%, 0 of 15 points Part 1 of 2 Points: 0 of 1 Save Question list K Find f'(x) and simplify. f ( x ) = x + 8 9x - 1 O Question 1 Which of the following shows the correct application of the quotient rule? O Question 2 O A (9x - 1) ( 2x ) - ( x 2 + 8 ) ( 9 ) O Question 3 [x2 + 872 O B. (9x - 1)(2x) - (x2 +8) (9) O Question 4 (9x - 1]2 O c. (x2 +8) (9) - (9x - 1)(2x) [9x - 1]2 Question 5 (x2 +8) (9) - (9x - 1)(2x) OD. [x2 + 8] Question 6 O Question 7 O Question 8 Ask my instructor Clear all Check answerSafari File Edit View History Bookmarks Window Help O US O Q 8 0 Fri Dec 8 7:36 AM [ ] v O mylab.pearson.com C 88 G Assignments Upload Assignment: Wri.. Bb https://learn-us-east-1-... P Do Homework - HW CH... Course Hero will Content Plagiarism Checker Fre... MATH 2040 B Fall 2023 DONIA Alzoubi 12/08/23 7:36 AM Homework: HW CH 10.3 Question 7, 10.3.37 HW Score: 0%, 0 of 15 points Points: 0 of 1 Save K Find h'(x) where f(x) is an unspecified differentiable function. Question list h ( x ) = 9x f ( x ) O Question 1 Choose the correct answer below. O Question 2 O A . h'(x ) = * # f' ( * ) ( 1 + 45 x 4 ) O B. h' ( x ) = 45 x f' ( x ) O Question 3 O c. h' ( x ) = 45 x # f ( x ) f ' ( x ) O D. h' ( x ) = 9x f' ( x ) + 45x # f ( x ) O Question 4 Question 5 O Question 6 O Question 7 O Question 8 Question a Help me solve this View an example Ask my instructor Clear all Check answerSafari File Edit View History Bookmarks Window Help O US O Q 8 0 Fri Dec 8 7:36 AM [ ] v O mylab.pearson.com C 88 G Assignments Upload Assignment: Wri... Bb https://learn-us-east-1-.. P Do Homework - HW CH... Course Hero will Content Plagiarism Checker Fre... MATH 2040 B Fall 2023 DONIA Alzoubi 12/08/23 7:36 AM Homework: HW CH 10.3 Question 8, 10.3.52 HW Score: 0%, 0 of 15 points Points: 0 of 1 Save Question list K Find the indicated derivative. f' (x) for f(x) = 8x 3 x - 2 O Question 1 O Question 2 F' ( x ) = 0 O Question 3 O Question 4 Question 5 O Question 6 O Question 7 O Question 8 Help me solve this View an example Ask my instructor Clear all Check answerSafari File Edit View History Bookmarks Window Help O US O Q 8 0 Fri Dec 8 7:36 AM [ ] v O mylab.pearson.com C 88 G Assignments Upload Assignment: Wri... Bb https://learn-us-east-1-... P Do Homework - HW CH... Course Hero will Content Plagiarism Checker Fre... MATH 2040 B Fall 2023 DONIA Alzoubi 12/08/23 7:36 AM Homework: HW CH 10.3 Question 9, 10.3.67 HW Score: 0%, 0 of 15 points Part 1 of 2 O Points: 0 of 1 Save Question list K Find f'(x) and find the values(s) of x where f'(x) = 0. f ( x) = (2x - 27) (x2 + 42) U Question / Question 8 f' ( x) =_ Question 9 O Question 10 O Question 11 O Question 12 Question 13 O Question 14 O Question 15 Help me solve this View an example Ask my instructor Clear all Check answerSafari File Edit View History Bookmarks Window Help O US O Q g Fri Dec 8 7:37 AM [ ] v O mylab.pearson.com C 88 G Assignments Upload Assignment: Wri... Bb https://learn-us-east-1-... P Do Homework - HW CH... Course Hero will Content Plagiarism Checker Fre... MATH 2040 B Fall 2023 DONIA Alzoubi 12/08/23 7:36 AM Homework: HW CH 10.3 Question 10, 10.3.71 HW Score: 0%, 0 of 15 points Part 1 of 3 O Points: 0 of 1 Save K Find f'(x) in two ways: (1) using the product rule and (2) simplifying first. Question list f( x ) =x9 (x8 - 4) U Question / Question 8 Which of the following shows the result of using the product rule? O A. F'( x ) = (x9 ) (x8 -4) ' (x 8 -4) (x9 ) ' O Question 9 O B. F( x ) = (x9 ) (x8 -4) ' - (x8 -4 ) ( x9 ) ' O c. F(x) = (x9) (x9)' + (x8-4) (x8-4)' O Question 10 O D. F'(x) = (x9 ) (x8 -4)' + (x8 -4) (x9 ) ' O E. F'(x) = (x9 )' + (x8 -4)' O Question 11 OF . F' ( X ) = (x9 )' (x8 -4)' O Question 12 Question 13 O Question 14 O Question 15 Help me solve this View an example Ask my instructor Clear all Check answerSafari File Edit View History Bookmarks Window Help O US O Q g Fri Dec 8 7:37 AM [ ] v O mylab.pearson.com C 88 G Assignments Upload Assignment: Wri... Bb https://learn-us-east-1-.. P Do Homework - HW CH... Course Hero will Content Plagiarism Checker Fre... MATH 2040 B Fall 2023 DONIA Alzoubi 12/08/23 7:36 AM Homework: HW CH 10.3 U Question / y' for y = - 6+x7 Question 8 y' = 0 O Question 9 O Question 10 O Question 11 O Question 12 Question 13 O Question 14 O Question 15 Help me solve this View an example Ask my instructor Clear all Check answerSafari File Edit View History Bookmarks Window Help O US O Q g Fri Dec 8 7:37 AM [ ] v O mylab.pearson.com C 88 G Assignments Upload Assignment: Wri... Bb https://learn-us-east-1-... P Do Homework - HW CH... Course Hero will Content Plagiarism Checker Fre... MATH 2040 B Fall 2023 DONIA Alzoubi 12/08/23 7:37 AM Homework: HW CH 10.3 Question 12, 10.3.87 HW Score: 0%, 0 of 15 points O Points: 0 of 1 Save K Differentiate the function. Question list y = (x+7) (x3 +2x+1) U Question / Question 8 y' = 0 O Question 9 O Question 10 O Question 11 Question 12 Question 13 O Question 14 O Question 15 Help me solve this View an example Ask my instructor Clear all Check answerSafari File Edit View History Bookmarks Window Help O US O Q g Fri Dec 8 7:37 AM [ ] v O mylab.pearson.com C 88 G Assignments Upload Assignment: Wri... Bb https://learn-us-east-1-... P Do Homework - HW CH... Course Hero will Content Plagiarism Checker Fre... MATH 2040 B Fall 2023 DONIA Alzoubi 12/08/23 7:37 AM Homework: HW CH 10.3 Question 13, 10.3.89 HW Score: 0%, 0 of 15 points O Points: 0 of 1 Save Question list K Find the indicated derivative. y' for y= (6x2 + 2x+9) (6x2 -2x +9) U Question / Question 8 y' = 0 O Question 9 O Question 10 O Question 11 O Question 12 O Question 13 O Question 14 O Question 15 Help me solve this View an example Ask my instructor Clear all Check answerSafari File Edit View History Bookmarks Window Help O US O Q g Fri Dec 8 7:37 AM [ ] v O mylab.pearson.com C 88 G Assignments Upload Assignment: Wri... Bb https://learn-us-east-1-... P Do Homework - HW CH... Course Hero will Content Plagiarism Checker Fre... MATH 2040 B Fall 2023 DONIA Alzoubi 12/08/23 7:37 AM Homework: HW CH 10.3 Question 14, 10.3.93-BE HW Score: 0%, 0 of 15 points Part 1 of 5 O Points: 0 of 1 Save The total sales of S (in thousands of DVD's) of a certain movie are given by the following formula where t is the number of months since the release of the DVD. Use the formula to answer the Question list K questions U Question / 50+2 S(t) = - 12 + 150 Question 8 a) Find S' (t). O Question 9 S' (t) = O Question 10 O Question 11 O Question 12 Question 13 Question 14 O Question 15 Help me solve this View an example Ask my instructor Clear all Check answerSafari File Edit View History Bookmarks Window Help O US O Q g Fri Dec 8 7:37 AM [ ] v O mylab.pearson.com C 88 G Assignments Upload Assignment: Wri... Bb https://learn-us-east-1-... P Do Homework - HW CH... Course Hero will Content Plagiarism Checker Fre... MATH 2040 B Fall 2023 DONIA Alzoubi 12/08/23 7:37 AM Homework: HW CH 10.3 Question 15, 10.3.95-BE HW Score: 0%, 0 of 15 points Part 1 of 5 O Points: 0 of 1 Save According to economic theory, the demand x for a quantity in a free market decreases as the price Question list K p increases (see the figure). Suppose that the number x of DVD players people are willing to buy (A) Find - dp U Question / per week from a retail chain at a price of $p is given by x = - 4,000 0.1p+1' Sps70. Answer parts (A), (B), and (C). dx =] do Question 8 4,000 0.1p + 1 O Question 9 Demand 1000- O Question 10 40 80 Price (dollars) O Question 11 O Question 12 Question 13 O Question 14 Question 15 Help me solve this View an example Ask my instructor Clear all Check answerSafari File Edit View History Bookmarks Window Help O US O ? Q 8 0 Fri Dec 8 12:32 PM 0 mylab.pearson.com C 88 G P Assignments i Upload Assignmen. Bb https://learn-us-ea.. P Pearson Sign In P Do Homework - H... Dashboard Will Grades Plagiarism Checke... MATH 2040 B Fall 2023 DONIA Alzoubi 12/08/23 12:32 PM Homework: HW CH 10.3 Question 1, 10.3.9-Setup & Solve HW Score: 51.06%, 7.66 of 15 points Part 2 of 2 Points: 0.5 of 1 Save Question list K Find f'(x) and simplify. f ( x ) = 5x4 (x3 -2) Question 1 Which of the following shows the correct application of the product rule? Question 2 O A. (5x4) (3x2) - (x3 - 2) (20x3) O B. (3x2) (20x3 ) Question 3 &c. (5x4) (3x2) + (x3 -2) (20x3 ) O D. (5x4 ) (20x3) + (x3 - 2) (3x2) Question 4 F' ( x ) = 0 Question 5 Question 6 Question 7 Question 8 Ask my instructor Clear all Check answerSafari File Edit View History Bookmarks Window Help O US O ? Q 8 0 Fri Dec 8 12:32 PM mylab.pearson.com C 88 G P Assignments i Upload Assignmen. Bb https://learn-us-ea.. P Pearson Sign In P Do Homework - H... Dashboard Will Grades Plagiarism Checke... MATH 2040 B Fall 2023 DONIA Alzoubi 12/08/23 12:32 PM Homework: HW CH 10.3 Question 2, 10.3.13-Setup & Solve HW Score: 51.06%, 7.66 of 15 points Part 2 of 2 Points: 0.5 of 1 Save Find f'(x) and simplify. Question list K f(x) = - X x + 20 Question 1 Which of the following shows the correct application of the quotient rule? Question 2 (x)(1) - (x+20)(1) O A. [X] Question 3 (x+ 20)(1) - (x)(1) B. [x + 20] Question 4 OC (x +20)(1) -(x)(1) Question 5 (x)(1) - (x+20)(1) O D. [x + 20]- Question 6 F' ( x ) = Question 7 Question 8 Ask my instructor Clear all Check answerSafari File Edit View History Bookmarks Window Help O US O ? Q 8 0 Fri Dec 8 12:32 PM mylab.pearson.com C 88 G P Assignments i Upload Assignmen. Bb https://learn-us-ea.. P Pearson Sign In P Do Homework - H... Dashboard Will Grades Plagiarism Checke... MATH 2040 B Fall 2023 DONIA Alzoubi 12/08/23 12:32 PM Homework: HW CH 10.3 Question 4, 10.3.23-Setup & Solve HW Score: 51.06%, 7.66 of 15 points Part 2 of 2 Points: 0.5 of 1 Save K Find f'(x) and simplify. Question list f(x) = (0.3x + 4)(0.4x -9) Question 1 Which of the following shows the correct application of the product rule? Question 2 O A. (0.3x + 4)(0.4) - (0.4x - 9)(0.3) O B. (0.3x + 4)(0.3) + (0.4x -9)(0.4) Question 3 O c. (0.4)(0.3) D. (0.3x + 4)(0.4) + (0.4x - 9)(0.3) Question 4 F' ( x ) = _ Question 5 Question 6 Question 7 Question 8 Ask my instructor Clear all Check answerSafari File Edit View History Bookmarks Window Help O US O ? Q 8 0 Fri Dec 8 12:32 PM mylab.pearson.com C 88 G P Assignments i Upload Assignmen. Bb https://learn-us-ea.. P Pearson Sign In P Do Homework - H... Dashboard Will Grades Plagiarism Checke... MATH 2040 B Fall 2023 DONIA Alzoubi 12/08/23 12:32 PM Homework: HW CH 10.3 Question 6, 10.3.25-Setup & Solve HW Score: 51.06%, 7.66 of 15 points Part 2 of 2 Points: 0.5 of 1 Save K Find f'(x) and simplify. Question list f ( x ) = x + 8 9x - 1 Question 1 Which of the following shows the correct application of the quotient rule? Question 2 O A. (9x - 1)(2x) - (x2 + 8) (9 ) Question 3 [x2 + 8]2 B. (9x - 1)(2x) - (x2 +8) (9) Question 4 (9x - 1]2 O c. (x2 +8) (9) - (9x-1)(2x) [9x - 1]2 Question 5 O D. (x2 +8) (9)-(9x- 1)(2x) [x2 + 8 ]2 Question 6 f' ( x ) = 0 Question 7 Question 8 Question a Ask my instructor Clear all Check answerSafari File Edit View History Bookmarks Window Help O US O Q 8 0 Fri Dec 8 12:35 PM mylab.pearson.com C 88 G P Assignments i Upload Assignmen. Bb https://learn-us-ea.. P Pearson Sign In P Do Homework - H... Dashboard Will Grades Plagiarism Checke... MATH 2040 B Fall 2023 DONIA Alzoubi 12/08/23 12:35 PM Homework: HW CH 10.3 Question 9, 10.3.67 HW Score: 51.06%, 7.66 of 15 points Part 1 of 2 Points: 0 of 1 Save Question list K Find f'(x) and find the values(s) of x where f'(x) = 0. f ( x ) = (2x - 27) (x2 + 42) Question 4 F' ( x ) =[ Question 5 Question 6 Question 7 Question 8 O Question 9 Question 10 X X Z U e C A V Question 11 + B Y S -M- . .. Less Question 12 Help me solve this View an example Ask my instructor Clear all Check answerSafari File Edit View History Bookmarks Window Help O US O ? Q 8 0 Fri Dec 8 12:36 PM mylab.pearson.com C 88 G P Assignments i Upload Assignmen. Bb https://learn-us-ea.. P Pearson Sign In P Do Homework - H... Dashboard Will Grades Plagiarism Checke... MATH 2040 B Fall 2023 DONIA Alzoubi 12/08/23 12:35 PM Homework: HW CH 10.3 Question 10, 10.3.71 HW Score: 51.06%, 7.66 of 15 points Part 2 of 3 Points: 0.33 of 1 Save K Find f'(x) in two ways: (1) using the product rule and (2) simplifying first. Question list f( x ) = x9 (x8 - 4) Question 4 Which of the following shows the result of using the product rule? Question 5 O A. F'(x ) = (x9 ) (x8 -4)' (x8 -4) (x9 ) ' O B. F'( x ) = (x9 ) (x8 -4) ' - (x8 -4) (x9 ) ' Question 6 O c. F(x) = (x ) (x9 )' + (x8-4) (x8-4)' D. F(x) = (x9) (x8 -4)' + (x8 -4) (x9 ) Question 7 O E. F(x) = (x )' + (x8 -4)' Question 8 OF . F' ( X ) = (x9 ) ' (x8 -4) ' Simplify f(x) completely. O Question 9 f ( x ) = [ Question 10 X X 2 I- U n e A C A V Question 11 B Y O S -M. . . . Less Question 1? Help me solve this View an example Ask my instructor Clear all Check answerSafari File Edit View History Bookmarks Window Help O US O ? Q 8 0 Fri Dec 8 12:37 PM mylab.pearson.com C 88 G P Assignments i Upload Assignmen. Bb https://learn-us-ea.. P Pearson Sign In P Do Homework - H... Dashboard Will Grades Plagiarism Checke... MATH 2040 B Fall 2023 DONIA Alzoubi 12/08/23 12:37 PM Homework: HW CH 10.3 mylab.pearson.com C 88 G P Assignments i Upload Assignmen. Bb https://learn-us-ea.. P Pearson Sign In P Do Homework - H... Dashboard Will Grades Plagiarism Checke... MATH 2040 B Fall 2023 DONIA Alzoubi 12/08/23 12:38 PM Homework: HW CH 10.3 Question 14, 10.3.93-BE HW Score: 57.72%, 8.66 of 15 points Part 2 of 5 Points: 0.2 of 1 Save The total sales of S (in thousands of DVD's) of a certain movie are given by the following formula where t is the number of months since the release of the DVD. Use the formula to answer the Question list K questions. Question / 5012 S(t) = - 1 2 + 150 Question 8 a) Find S'(t). O Question 9 15000T S' (t) = (12 + 150) 2 Question 10 b) Find S(15) and S'(15). The value of S(15) rounded to the nearest hundredth is. O Question 11 Question 12 Question 13 Question 14 Question 15 Help me solve this View an example Ask my instructor Clear all Check answerSafari File Edit View History Bookmarks Window Help O US O Q 8 0 Fri Dec 8 12:38 PM 0 mylab.pearson.com C 88 G P Assignments i Upload Assignmen. Bb https://learn-us-ea.. P Pearson Sign In P Do Homework - H... Dashboard Will Grades Plagiarism Checke... MATH 2040 B Fall 2023 DONIA Alzoubi 12/08/23 12:38 PM Homework: HW CH 10.3 Question 15, 10.3.95-BE HW Score: 57.72%, 8.66 of 15 points Part 2 of 5 Points: 0.13 of 1 Save According to economic theory, the demand x for a quantity in a free market decreases as the price Question list K p increases (see the figure). Suppose that the number x of DVD players people are willing to buy (A) Find dx dp Question / per week from a retail chain at a price of $p is given by x = - 4,000 0.1p +1' sps70. dx - 400 Answer parts (A), (B), and (C). dp (0.1P +1)- Question 8 4,000 X= - B) Find the demand and the instantaneous rate of change of demand with respect to 0.1p + 1 price when the price is $40. Write a brief interpretation of these results. The demand is x = when the price is $40. Demand O Question 9 1000- Question 10 P 40 80 Price (dollars) O Question 11 Question 12 Question 13 Question 14 Question 15 Help me solve this View an example Ask my instructor Clear all Check answer\fy =log, x log.x 6+ x 7 - 1097 . (6+x 7 ) using the change base formula. y = 7097.L logx ] cliff wo.rod . x , Itx 7 y'z Tog7 1 (6+x7.) . - - 109x. (7x6) ( 6 + x 7) 2 y's . logx (7 * 6 ) 1097 x ( 6 + x 7 ) ( 6 + X ) 2 y' = * ( 6 + 2 7 ) logt logy (7 * * ) 10 7 7 ( 6 + x 7 ) 2 109 7 ( 6 X + x 8 ) - 10 9, x ( 7 x 6 ) .o nlogm = login (G + x 7 ) 2 set ) = 50+2 12 + 150. cliff wirt t, we get 5(15 ) = ( 15 ) 2 + 150 = 30 S(t) = ( 1 2+ 150). (loot ) - 50 t2 ( at. ) 100 + + 15000 t- 100+3 ( + 2 + 150 ) 2 E (t 2+ 150 ) 2 S(t) = 1500 0t 5 ( 13 ) = 15000 (15 ) ( + 2 + 150 ) 2 (15 2 + 150 ) 2 7 24 15. x =40OO aliff writ. P , we get on olx = 4000 d.( dp ap. ( D . 1 p+ 1) = 4060 d Coup+ 1]t dp I 4000 .[ - ( 0 . 1 P + 1 ) 2 0. 1] = -400 27 ( 40 ) = 1000 ( 0. 1 p + 1 ) 2 . 0 . 1 x 70 + 1. 800 demand X ( 40) = = 700 10 - 1 X YO + 1) - 16
Step by Step Solution
There are 3 Steps involved in it
Get step-by-step solutions from verified subject matter experts
