Question: Samples Contract for Learning Purpose only - Resource and Procurement Project Management .pdf Download Samples Contract for Learning Purpose only - Resource and Procurement Project
Samples Contract for Learning Purpose only - Resource and Procurement Project Management .pdf
Download Samples Contract for Learning Purpose only - Resource and Procurement Project Management .pdf
Use the attached sample contract terms and clauses to answer the questions below:
What are the different termination categories stated on the contract ? 3 points
What is the governing law? 3 points
What are the amendment terms? 3 points
How disputes can be resolved? 3 points
Instructions : 3 Points
Cover page
Font Size : 12
Font : Times New Roman
Spacing Line : 1.5
Number of Pages : Maximum 2 pages, Minimum 1 page.
Use concise sentences; not more than 20 words per sentence.








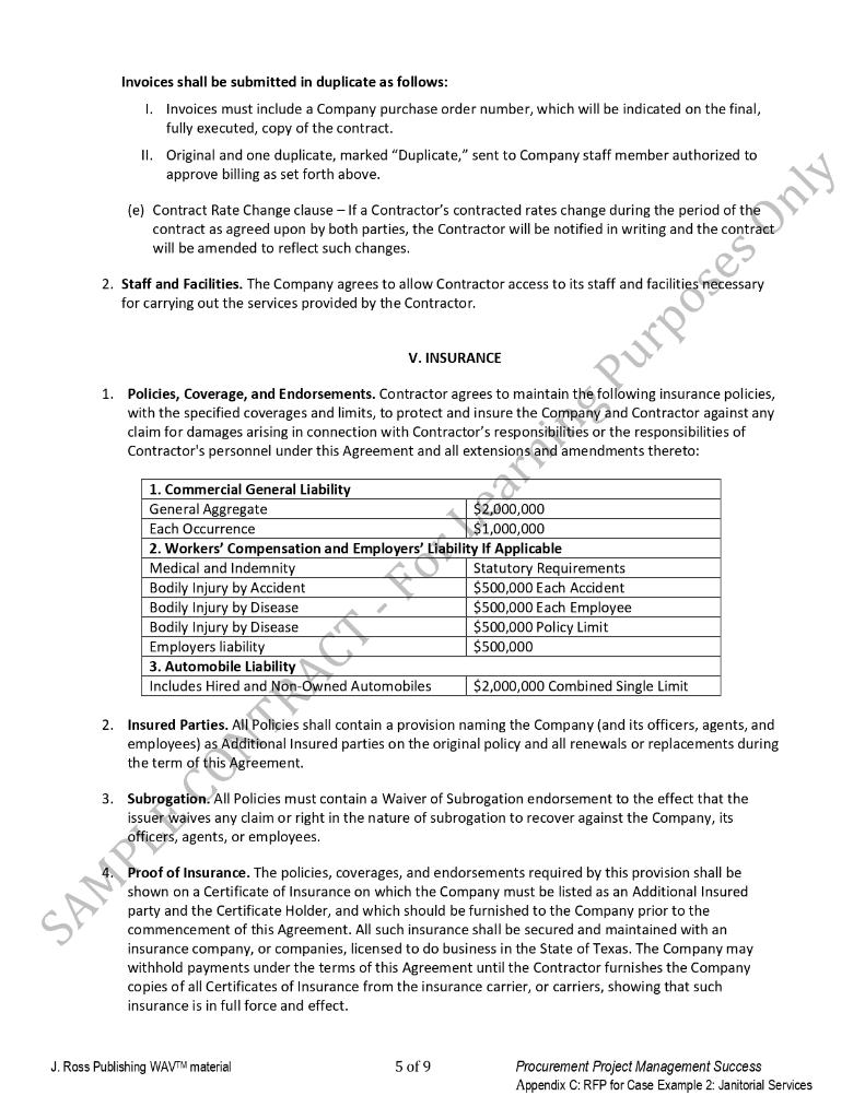
SAMPLE CONTRACT CASE EXAMPLE: JANITORIAL SERVICES Copyright @ Diana L. Lindstrom J. Ross Publishing wavim material Procurement Project Management By Diana L Lindstrom THIS AGREEMENT is made and entered into this , 2013, by and between XYZ Company, at 1325 Texas Blvd., Dallas, TX 75032, a company ("Company"), and ("Contractor") with offices at for the purpose of providing janitorial services as specified in this agreement. RECITALS WHEREAS, the Company desires that Contractor provide janitorial services under the terms and conditions set forth in this Agreement; WHEREAS, each of the parties is committed to the delivery of services in an effective, cost efficient, and quality manner; and WHEREAS, this Agreement sets forth the terms and conditions evidencing the Agreement of the parties hereto; NOW THEREFORE, in consideration of the mutual covenants, rights, and obligations set forth herein, the benefits to be derived therefrom, and other good and valuable consideration, the receipt and sufficiency of which are acknowledged, the parties agree as follows: I. PERSONNEL The Company staff member authorized to approve billing is Donna Smith. The Company staff member responsible for overseeing this Agreement is Donna Smith. The Company staff member responsible for dayto-day operations is Bill Green, Facilities Manager. is Publishing WAVTM material 2 of 9 Procurement Project Management Success Appendix C: RFP for Case Example 2: Janitorial Services II. INDEPENDENT CONTRACTOR RELATIONSHIP BETWEEN THE PARTIES 1. Independent Contractor. The relationship between the Company and Contractor shall be that of an independent contractor. The parties agree that none of the provisions of this Agreement are intended to create, nor shall be deemed or construed to create, any relationship between the Company and Contractor other than that of independent parties contracting with each other solely for the purpose of effectuating the provisions of this Agreement. It is expressly agreed that Contractor and Contractor's personnel, if any, shall not for any purpose be deemed to be an employee, agent, partner, joint venturer, ostensible or apparent agent, servant, or borrowed servant of the Company. Contractor agrees that he will not hold himself out as an agent of the Company to any persons. 2. Professional Judgment. In the performance of all services pursuant to this Agreement, Contractor is at all times acting as an independent contractor engaged in the delivery of a professionalservice. Contractor and his personnel, if any, shall employ his own means and methods and exercise his own professional judgment in the performance of services pursuant to this Agreement. The sole concern of the Company under this Agreement or otherwise is that, irrespective of the means selected, such services shall be provided in a competent, efficient, and satisfactory manner in compliance with the policies and procedures of the Company and the applicable federal, state, and local laws, rules, and regulations. III. OBLIGATIONS OF CONTRACTOR 1. Services. The specialized support services to be provided by Contractor and the schedule of hours Contractor will deliver such services are set forth in Exhibit A. Said schedule and services may be changed only with the mutual written consent of the parties. 2. Company Approval of Contractor Personnel. Contractor agrees that any individual or entity selected by him to deliver designated services for Company, including any and all contractors, is subject to approval by Company. The services of any individual to whom Contractor delegates the delivery of designated services are the direct responsibility of Contractor, and Contractor agrees to indemnify and hold harmless Company, its employees, agents, officers, and assigns from any claim or liability arising from the negligent acts or any other acts of Contractor or an individual to whom he delegates the delivery of designated services. 3. Representations and Warranties. (a) Contractor represents and warrants that, at all times during this Agreement, he will comply with all applicable policies of the Company and all applicable local, state, and federal laws, rules, and regulations now in effect and that become effective during the term of this Agreement. Contractor further agrees to provide services to the Company in a manner consistent with applicable professional standards and consistent with standards of reasonable due care. (b) Contractor agrees to perform his services with decorum and in a manner designed to assist in the efficient operation of the Company. Contractor agrees to interact with Company staff in a cooperative manner. The adequacy of the performance of this obligation will be determined at the sole discretion of the Company. (c) Contractor represents and warrants that he is not currently an employee of the Company. 4. Disclosure. Contractor declares that neither Contractor nor any of its subcontractors or employees rendering services pursuant to this Agreement has been convicted of a criminal act and Contractor will give immediate notification to the Company if such occurs anytime during the term of this Agreement. Ross Publishing WAVTM material 3 of 9 Procurement Project Management Success Appendix C: RFP for Case Example 2: Janitorial Service 5. Immigration Reform and Control Act. Contractor agrees to maintain appropriate identification and employment eligibility documents, and to complete a W- 9 form, Request for Taxpayer Identification Number and Certification, and to meet requirements of the Immigration Reform and Control Act of 1986. 6. Required Information for Criminal Conviction Checks. Contractor shall provide to Company proof that criminal history record checks have been conducted on Contractor/subcontractor's applicants or employees, and that if an applicant or employee of the Contractor/subcontractor has a criminal history relevant to his or her employment, then the Contractor/subcontractor will take appropriate action with respect to the applicant or employee, including terminating or removing the employee from Company property. If Contractor's employee has such a conviction, and Contractor fails to remove such employee, then this contract may be terminated without prior notice. 7. Access. (a) Contractor agrees that Company and its representatives, including independent financial auditors, shall have access to all facilities, service providers, records, data, and other information under the control of Contractor or its subcontractors as necessary to enable the Company to audit, monitor, and review all financial or programmatic activities and services associated with this Agreement, (b) Acceptance of funds directly under this contract, or indirectly through a subcontract under this contract, acts as acceptance of the authority of the Company to conduct an audit or investigation in connection with those funds; and (c) Contractor must provide Company's auditor with access to any information the auditor considers relevant to: i. Evaluating Contractor's performance under the contract or subcontract; ii. Determining Company's rights or remedies under the contract; and/or iii. Evaluating whether the Contractor has acted in the best interest of the Company. IV. OBLIGATIONS OF THE COMPANY 1. Payment (a) In consideration of the obligations undertaken by Contractor, the Company agrees to pay Contractor, in accordance with the fee schedule attached as Exhibits A and A1, for an amount not to exceed $ (b) The payment amount will be based on a monthly invoice which shall reflect the services provided by Contractor and is approved by the Company employee(s) authorized to approve billing(s) as set forth above. Invoices or claim forms for services rendered are to be submitted by the fifth (5) calenidar day of the month following that in which the services were rendered. (c) Invoices or claim forms for services must be received no later than forty-five (45) calendar days after the end of the month in which services were rendered. Invoices or claim forms for services received later than forty-five (45) calendar days after the end of the month in which the services were rendered will not be paid. (d) Payment shall be made thirty (30) calendar days after receipt of goods, services, or invoice, whichever is latest. Payment may be delayed, adjusted, or withheld, where a deficiency is noted in goods, services, or invoices received. Company retains the right to offset payments for prior invoices paid where a deficiency is noted after payment has been processed. Invoices shall be submitted in duplicate as follows: I. Invoices must include a Company purchase order number, which will be indicated on the final, fully executed, copy of the contract. II. Original and one duplicate, marked "Duplicate," sent to Company staff member authorized to approve billing as set forth above. (e) Contract Rate Change clause - If a Contractor's contracted rates change during the period of the contract as agreed upon by both parties, the Contractor will be notified in writing and the contract will be amended to reflect such changes. 2. Staff and Facilities. The Company agrees to allow Contractor access to its staff and facilities necessary for carrying out the services provided by the Contractor. V.INSURANCE 1. Policies, Coverage, and Endorsements. Contractor agrees to maintain the following insurance policies, with the specified coverages and limits, to protect and insure the Company and Contractor against any claim for damages arising in connection with Contractor's responsibilities or the responsibilities of Contractor's personnel under this Agreement and all extensions and amendments thereto: 2. Insured Parties. All Policies shall contain a provision naming the Company (and its officers, agents, and employees) as Additional Insured parties on the original policy and all renewals or replacements during the term of this Agreement. 3. Subrogation. All Policies must contain a Waiver of Subrogation endorsement to the effect that the issuer waives any claim or right in the nature of subrogation to recover against the Company, its officers, agents, or employees. 4. Proof of Insurance. The policies, coverages, and endorsements required by this provision shall be shown on a Certificate of Insurance on which the Company must be listed as an Additional Insured party and the Certificate Holder, and which should be furnished to the Company prior to the commencement of this Agreement. All such insurance shall be secured and maintained with an insurance company, or companies, licensed to do business in the State of Texas. The Company may withhold payments under the terms of this Agreement until the Contractor furnishes the Company copies of all Certificates of Insurance from the insurance carrier, or carriers, showing that such insurance is in full force and effect. 5. Cancellation. New Certificates of Insurance shall be furnished to the Company at the renewal date of all policies named on these Certificates. Contractor shall give the Company thirty (30) days prior written notice of any proposed cancellation of any of the above-described insurance policies. VI. INDEMNIFICATION To the extent permitted under the Constitution and the laws of the State of Texas, Contractor hereby agrees to indemnify and hold harmless the Company and all of its directors, officers, employees, and agents from all suits, actions, claims, or cost of any character, type, or description brought or made on account of any injuries, death, or damage received or sustained by any person or persons or property, including but not limited to customers, arising out of or occasioned by any acts or negligence of Contractor or Contractor's personnel, if any, or its agents or employees whether occurring during the performance of the services hereunder or in the execution of the performance of any of its duties under this Agreement. VII. TERM AND TERMINATION 1. Term. This Agreement is effective , 2013 to , 2014, unless sooner terminated pursuant to this Agreement. 2. Renewal Options. This Agreement may be renewed at the sole discretion of Company for up to three (3) one-year renewal options at rates and placement fees specified in Exhibit A. 3. Immediate Termination. Company may terminate this Agreement immediately if: (a) Company has cause to believe that termination of the Agreement is in the best interests of the health and safety of the employees and customers served under this Agreement. (b) Contractor has its applicable license or certification suspended or revoked. (c) Contractor submits falsified documents or fraudulent billings or Contractor makes false statements. (d) Company may terminate this Agreement immediately upon written notice to Contractor if it is determined by the Company that Contractor will not be able to deliver services in a timely or appropriate manner to meet the business needs of the Company. 4. Termination upon Default. Either party may terminate this Agreement after thirty (30) days written notice if the other party is in default of any of the provisions herein and/or any of the provisions in the Request for Proposals (RFP), which is attached hereto and incorporated herein by reference as if set out in full. Such termination shall be ineffective if, within said thirty (30) day period, Contractor cures such default to the satisfaction of the Company. The Company at its sole discretion may extend the period to cure the default for a reasonable time if the Company determines that the Contractor has initiated action to cure the default within the thirty (30) day period. The Company reserves the right to suspend services provided by the Contractor and payment for services not authorized during the thirty (30) day cure period, if at the Company's sole discretion, it is determined that suspension is in the best interest of the Company and/or its customers. ss Publishing WAVTM material 6 of 9 Procurement Project Management Success Appendix C: RFP for Case Example 2: Janitorial Services 5. Termination for Convenience. Due to the need for Company to replace the services being provided by Contractor, this Agreement may be terminated by Contractor, without cause, after one hundred and twenty (120) days written notice to the Company. Company may terminate this Agreement, without cause, after thirty (30) days written notice. VIII. MISCELLANEOUS 1. Nondiscrimination. Each party to this Agreement agrees that no person, on the basis of race, color, national origin, religion, sex, age, handicap, or political affiliation, will be excluded from participation, be denied the benefits of, or be subject to discrimination in the provision of any services hereunder. Without limiting the foregoing, the parties hereto agree to comply with the Civil Rights Act of 1964, the Americans with Disabilities Act of 1990, as amended, and the Civil Rights Act of 1991, as amended. 2. Business Ethics. During the course of pursuing contracts, and the course of contract performance, Company will maintain business ethics standards aimed at avoiding real or apparent impropriety, abuse, fraud, waste, or conflicts of interest. No substantial gifts, entertainment, payments, loans, or other considerations beyond that which would be collectively categorized as incidental shall be made to any employees or officials of Company by Contractor employees, directors, officers, and agents. At any time Contractor believes there may have been a violation of this obligation, or any business ethics standard, Contractor shall notify Company of the possible violation. 3. TB Testing Requirement. Contractor shall provide to the Company proof that its employees, whose duties place them in Company facilities, whether there is direct or indirect contact with employees and customers, TB testing on an annual basis at the cost of the Contractor. In addition, chest X-ray testing will be required when there is a positive TB result. 4. Amendment. Unless otherwise specifically provided herein, this Agreement may be amended or changed only by mutual written consent of an authorized representative of the Company and Contractor. 5. Entire Agreement. This Agreement and the documents incorporated herein constitute the sole and only Agreement of the parties hereto and supersede any prior understandings and any prior written or oral Agreements between the parties respecting the subject matter herein. 6. Assignment. No assignment of this Agreement or rights or obligations thereunder shall be valid without written consent of the parties. 7. Additional Requirements. If Contractor is required to comply with an additional requirement pursuant to compliance with state or federal law, or community standard, regulations, resolutions, settlements, or plans, and compliance results in a material change in Contractor's rights or obligations under the contract or places a significant financial burden on the Contractor, the Contractor may, upon giving sixty (60) days notice of such intention, be entitled to renegotiate the Agreement. 8. Governing Law and Venue. This Agreement shall be construed and enforced in accordance with the laws of the State of Texas, and venue shall lie in Rockwall County, Texas. 9. Captions. The captions contained herein are for reference purposes only and shall not affect the meaning of this Agreement. 10. Gender and Number. The masculine, feminine, or neuter gender, and the singular or plural number, shall be deemed to include the other whenever the context so indicates or requires. 11. Notices. Any notice required to be given pursuant to this Agreement shall be in writing and shall be sent, postage prepaid, by certified mail, return receipt requested, to Company or Contractor at the address below. The notice shall be effective on the date of delivery indicated on the return receipt: If to Company: Donna Smith, MBA, CPSM XYZ Company Purchasing Department 1325 Texas Blvd. Dallas, TX 75032 If to Contractor: 12. Remedies. All rights, powers, and remedies granted either party by any particular term of this Agreement are in addition to, and not in limitation of, any rights, powers, or remedies which it has under any other term of this Agreement, at common law, in equity, by statute, or otherwise, and all such rights, powers, and remedies may be exercised separately or concurrently, in such order and as often as may be deemed expedient by either party. No delay or omission by either party to exercise any right, power, or remedy shall impair such right, power, or remedy or be construed to be a waiver of any breach or default or acquiescence therein. A waiver by either party of any breach or default thereunder shall not constitute a waiver of any subsequent breach or default. 13. Dispute Resolution. Any controversy or claim arising out of, or relating to, this contract, or the breach thereof, shall be settled by arbitration administered by the American Arbitration Association in accordance with its Commercial Arbitration Rules, including the Optional Rules for Emergency Measures of Protection, and judgment on the award rendered by the arbitrator(s) may be entered in any court having jurisdiction thereof. 14. Severability. The invalidity or unenforceability of any term or provision hereof shall not affect the validity or enforceability of any other term(s) or provision(s). ss Publishing WAVTM material 8 of 9 Procurement Project Management Success Appendix C: RFP for Case Example 2: Janitorial Services 15. Effect of Severable Provision. In the event that a provision of this Agreement is rendered invalid or unenforceable and its removal has the effect of materially altering the obligations of either the Company or Contractor in such manner as, in the sole judgment of the affected party, (1) will cause serious financial hardship to such party, or (2) will cause such party to act in violation of its corporate Articles or Bylaws, the party so affected shall have the right to terminate this Agreement upon thirty (30) calendar days prior written notice to the other party. 16. Exhibits. All Exhibits referred to in this Agreement and attached hereto are incorporated herein by this reference. The Contractor warrants and assures XYZ Company that it possesses adequate legal authority to enter into this Agreement. The Contractor's governing body, where applicable, has authorized the signatory official(s) to enter this Agreement and bind the Contractor to the terms of this Agreement and any subsequent amendments hereto. CONTRACTOR XYZ COMPANY Signature Signature Name (Printed/Typed): Name (Printed/Typed): Title: Title: Date: Date: s Publishing WAVTM material 9 of 9 Procurement Project Management Success Appendix C: RFP for Case Example 2: Janitorial Services
Step by Step Solution
There are 3 Steps involved in it
Get step-by-step solutions from verified subject matter experts
