Question: Scenario #3: The plant manager is preparing a presentation that includes the last three years of injuries which totaled 14. You have determined that in
Scenario #3:
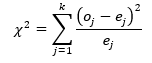
The plant manager is preparing a presentation that includes the last three years of injuries which totaled 14. You have determined that in the past three years there 7 of the 14 were hand injuries. Previous projections had indicated that under normal conditions, only four hand injuries were expected and 12 other injuries were expected. The remaining injuries were due to other causes. Calculate the chi-square value and discuss whether there was a significant difference in observed data vs. the expected data. Also, discuss how the process of hypothesis testing might prove helpful to the safety professional.

Step by Step Solution
There are 3 Steps involved in it
Get step-by-step solutions from verified subject matter experts
