Mathematics Questions and Answers April 2, 2018

Expert-verified solutions to help you succeed

Showing 600 - 700 of 1502
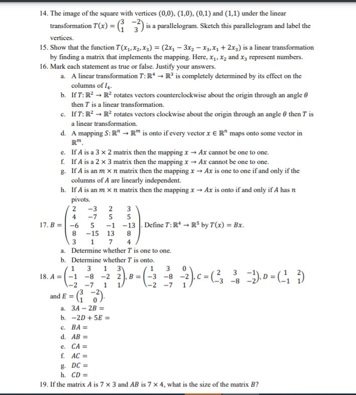
  • 7 / 16