Mathematics Questions and Answers April 11, 2018

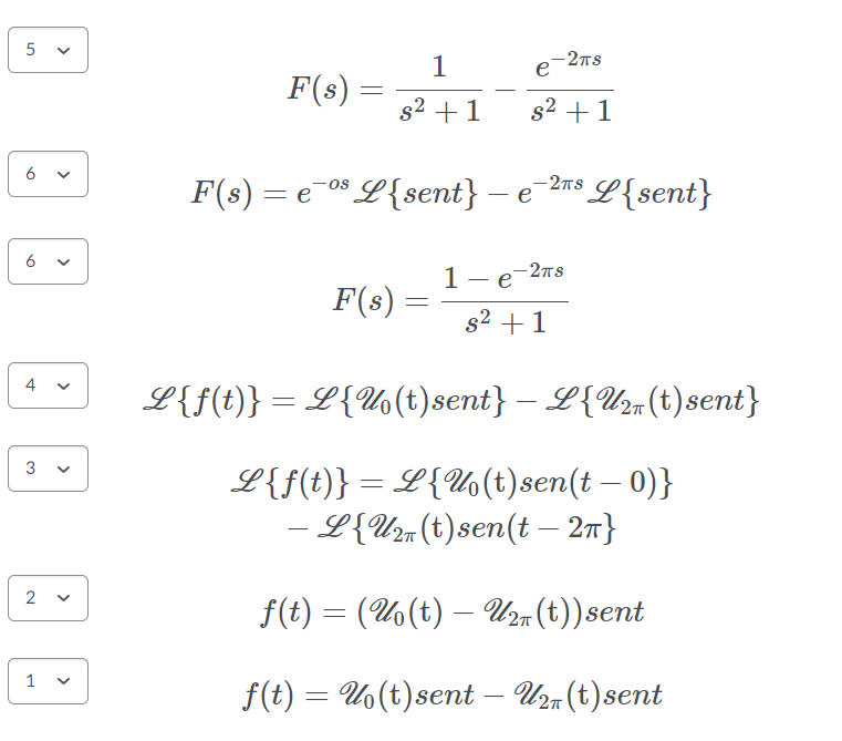
Expert-verified solutions to help you succeed

Showing 1400 - 1500 of 1504
  • 15 / 16