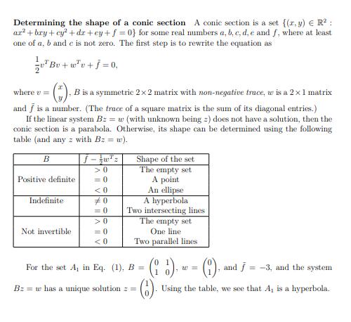
Mathematics Questions and Answers February 21, 2018

Expert-verified solutions to help you succeed

Showing 500 - 600 of 1502
  • 6 / 16