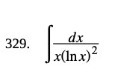
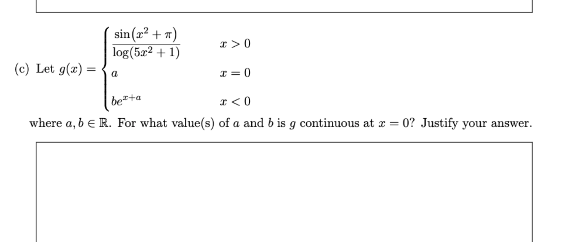
Mathematics Questions and Answers February 22, 2018

Expert-verified solutions to help you succeed

Showing 900 - 1000 of 1500
  • 10 / 15