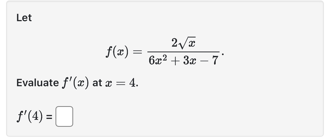
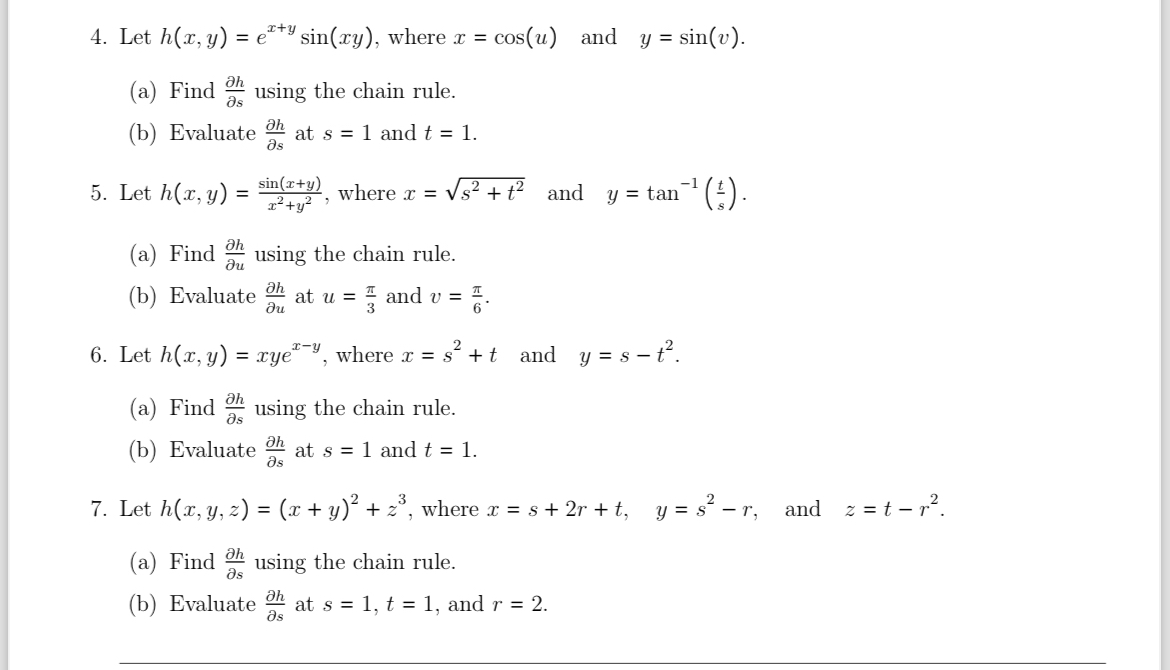
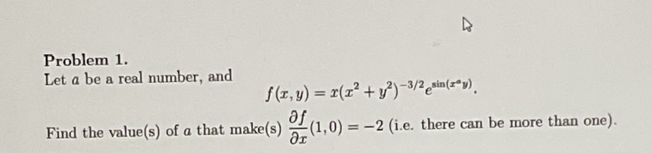
Mathematics Questions and Answers January 12, 2018

Expert-verified solutions to help you succeed

Showing 1000 - 1100 of 1499
  • 11 / 15