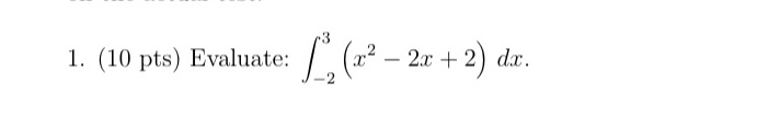
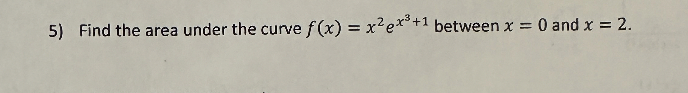
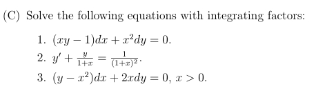
Mathematics Questions and Answers January 13, 2018

Expert-verified solutions to help you succeed

Showing 1300 - 1400 of 1501
  • 14 / 16