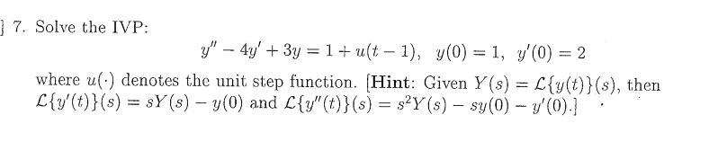
Mathematics Questions and Answers January 31, 2018

Expert-verified solutions to help you succeed