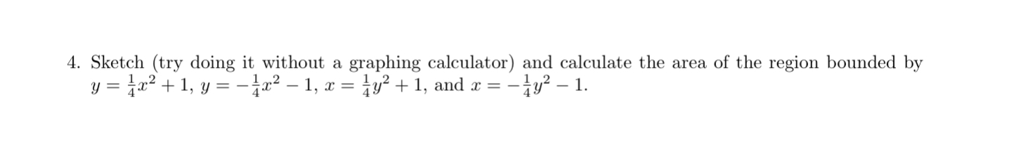
Mathematics Questions and Answers June 14, 2018

Expert-verified solutions to help you succeed