fireworks-image New Semester Started Get    50% OFF Study Help! --h --m --s Claim Now fireworks-image

Question Answers
Textbooks
Book Search
Find textbooks, questions and answers
Oops, something went wrong!
Change your search query and then try again
Result Not Found
SolutionInn Logo S
  • books Books FREE
  • study-help Study Help
    • expert-questions Expert Questions
      • expert-questions-accountingAccounting
      • expert-questions-general-managementGeneral Management
      • expert-questions-mathematicsMathematics
      • expert-questions-financeFinance
      • expert-questions-organizational-behaviourOrganizational Behaviour
      • expert-questions-lawLaw
      • expert-questions-physicsPhysics
      • expert-questions-operating-systemOperating System
      • expert-questions-business-management-leadershipManagement Leadership
      • expert-questions-sociologySociology
      • expert-questions-programmingProgramming
      • expert-questions-marketingMarketing
      • expert-questions-databaseDatabase
      • expert-questions-computer-networkComputer Network
      • expert-questions-economicsEconomics
    • textbook-solutions Textbooks Solutions
      • textbook-questions-business-accountingAccounting
      • textbook-questions-business-managerial-accountingManagerial Accounting
      • textbook-questions-management-leadershipManagement Leadership
      • textbook-questions-cost-accountingCost Accounting
      • textbook-questions-statisticsStatistics
      • textbook-questions-business-lawBusiness Law
      • textbook-questions-corporate-financeCorporate Finance
      • textbook-questions-financeFinance
      • textbook-questions-business-economicsEconomics
      • textbook-questions-auditingAuditing
  • study-help Tutors
    • find-online-tutors Online Tutors
    • find-a-tutor Find a Tutor
    • ask-a-question Hire a Tutor
    • become-a-tutor Become a Tutor
    • tutors AI Tutor
  • AI Study Planner NEW
  • flashcard icon Sell Books
  • sign-inSign In
  • account_registerRegister
  1. study help
  2. subject categories
  3. sciences
  4. mathematics
  5. march 2018
  6. 5

Mathematics Questions and Answers March 5, 2018

Expert-verified solutions to help you succeed

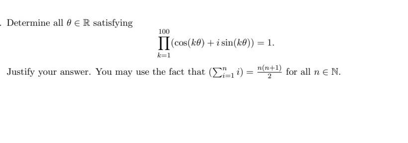
Determine all o e R satisfying 100 (cos(ke) + isin(ke)) = 1. k=1 Justify your answer. You may use the fact that ()" i) = not for all n e N
Determine all o e R satisfying 100 (cos(ke) +

Use the graph of the function f to answer the question. O A. - 20, - 12, 14, 20 For what numbers x is f(x) = 0? O B. - 12 20 - y O C. - 12, 14, 20 O D. - 12, 14 - 20 20 x -20
Use the graph of the function f to answer the

Showing 1500 - 1600 of 1502
  • 16 / 16

Services

  • Sitemap
  • Fun
  • Definitions
  • Become Tutor
  • Used Textbooks
  • Study Help Categories
  • Recent Questions
  • Expert Questions
  • Campus Wear
  • Sell Your Books

Company Info

  • Security
  • Copyrights
  • Privacy Policy
  • Terms & Conditions
  • SolutionInn Fee
  • Scholarship
  • Online Quiz
  • Give Feedback, Get Rewards

Get In Touch

  • About Us
  • Contact Us
  • Career
  • Jobs
  • FAQ
  • Student Discount
  • Campus Ambassador

Secure Payment

payment-verified-icon

Download Our App

SolutionInn - Study Help App for Android
SolutionInn - Study Help App for iOS

© 2026 SolutionInn. All Rights Reserved