Mathematics Questions and Answers March 20, 2018

Expert-verified solutions to help you succeed

Showing 1000 - 1100 of 1500
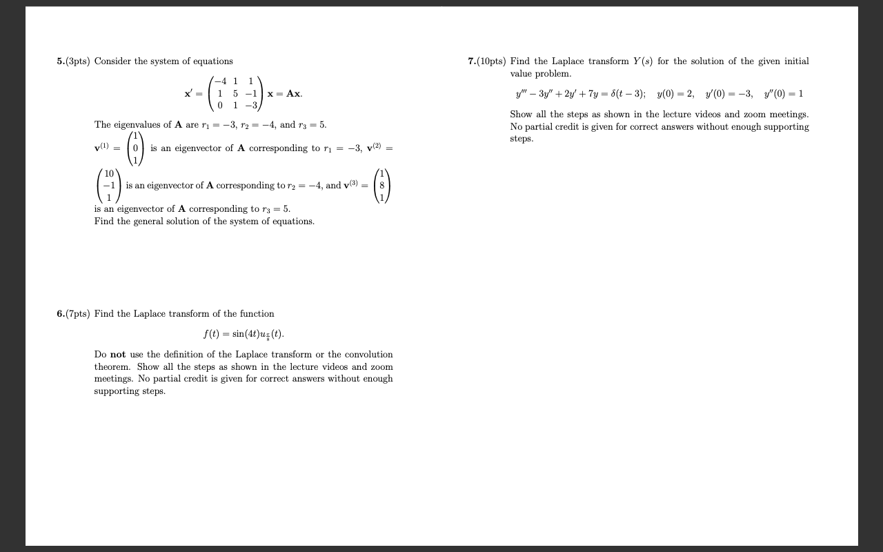
  • 11 / 15