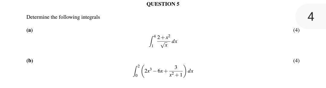
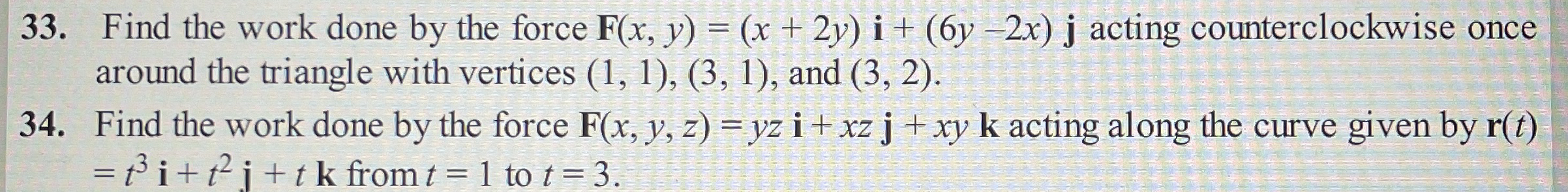
Mathematics Questions and Answers May 8, 2018

Expert-verified solutions to help you succeed

Showing 200 - 300 of 1501
  • 3 / 16