Mathematics Questions and Answers December 01, 2019

Expert-verified solutions to help you succeed

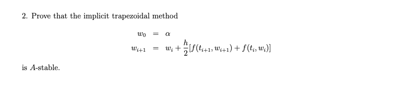
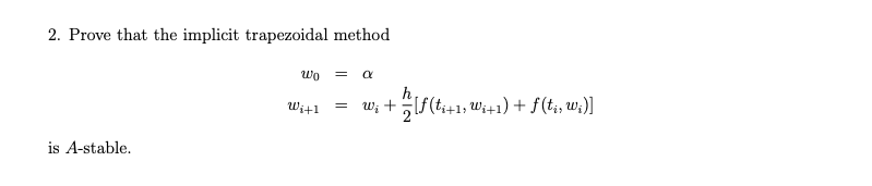
Showing 900 - 1000 of 1510
  • 10 / 16