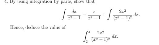
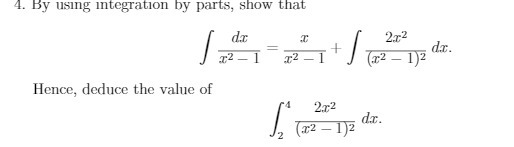
Mathematics Questions and Answers November 12, 2019

Expert-verified solutions to help you succeed

Showing 800 - 900 of 1502
  • 9 / 16