Mathematics Questions and Answers November 19, 2019

Expert-verified solutions to help you succeed

Showing 800 - 900 of 1500
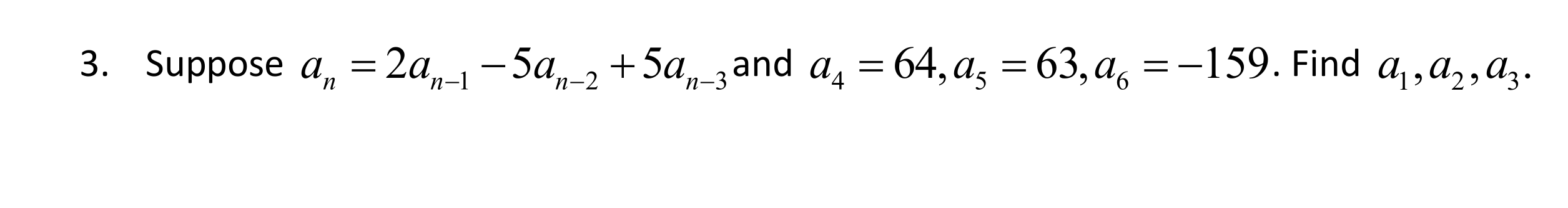
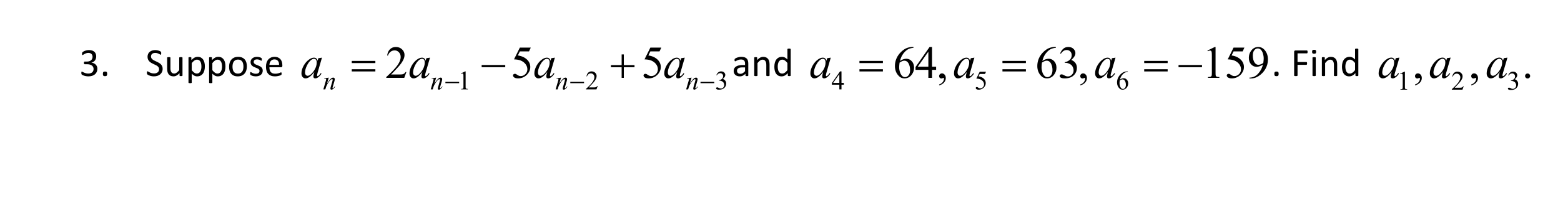
  • 9 / 15