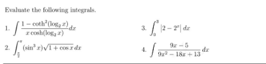
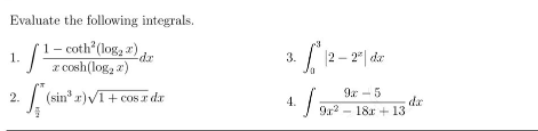
Mathematics Questions and Answers November 30, 2019

Expert-verified solutions to help you succeed

Showing 1000 - 1100 of 1506
  • 11 / 16