Mathematics Questions and Answers September 27, 2019

Expert-verified solutions to help you succeed

Showing 600 - 700 of 1502
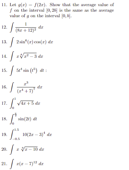
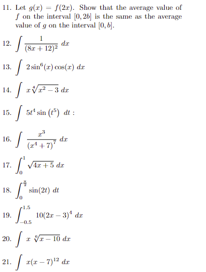
  • 7 / 16