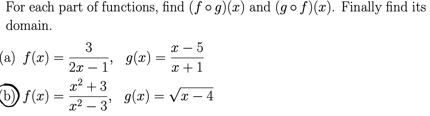
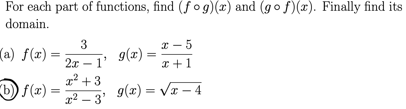
Mathematics Questions and Answers April 04, 2020

Expert-verified solutions to help you succeed

Showing 800 - 900 of 1503
  • 9 / 16