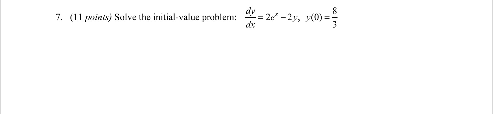
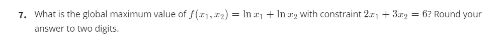
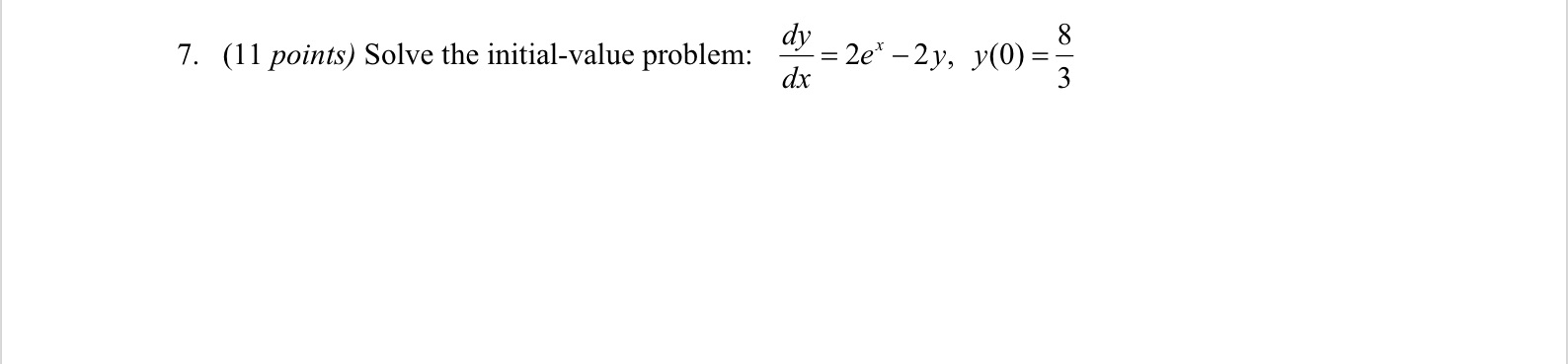
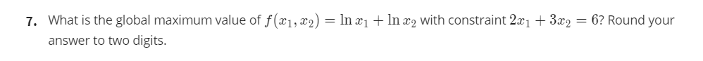
Mathematics Questions and Answers April 07, 2020

Expert-verified solutions to help you succeed

Showing 800 - 900 of 1501
  • 9 / 16