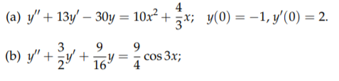
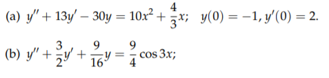
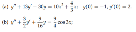
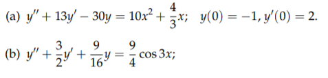
Mathematics Questions and Answers April 19, 2020

Expert-verified solutions to help you succeed

Showing 1100 - 1200 of 1500
  • 12 / 15