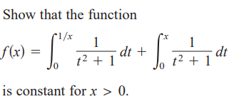
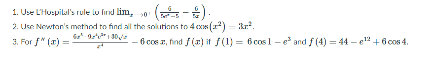
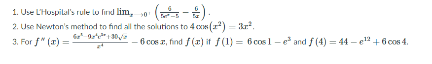
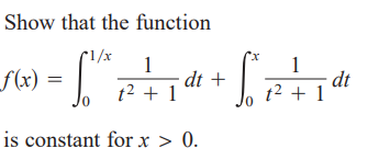
Mathematics Questions and Answers April 25, 2020

Expert-verified solutions to help you succeed

Showing 1000 - 1100 of 1500
  • 11 / 15