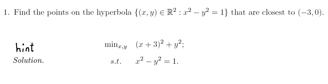
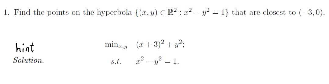
Mathematics Questions and Answers August 01, 2020

Expert-verified solutions to help you succeed

Showing 700 - 800 of 1501
  • 8 / 16