Mathematics Questions and Answers December 01, 2020

Expert-verified solutions to help you succeed

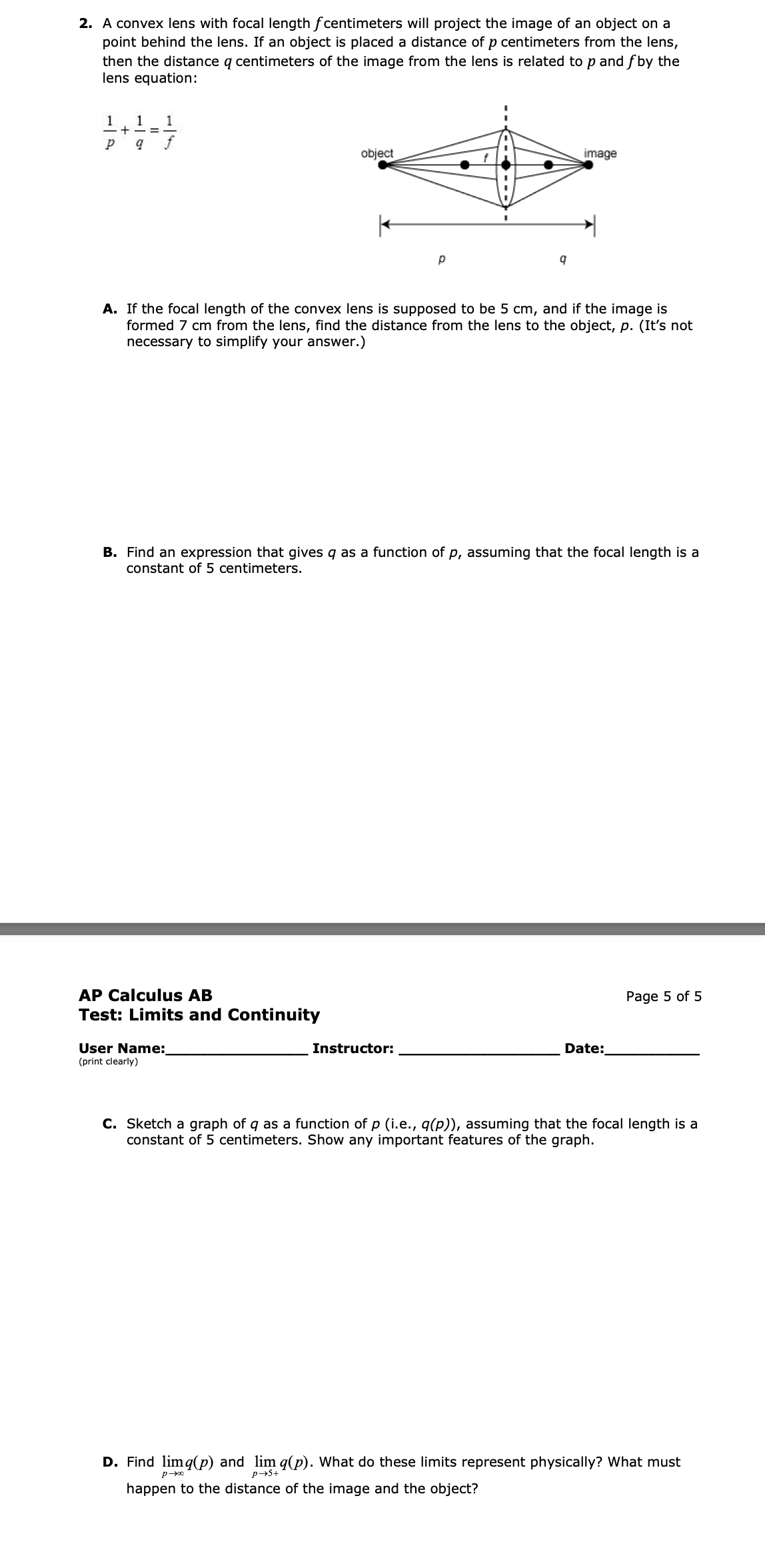
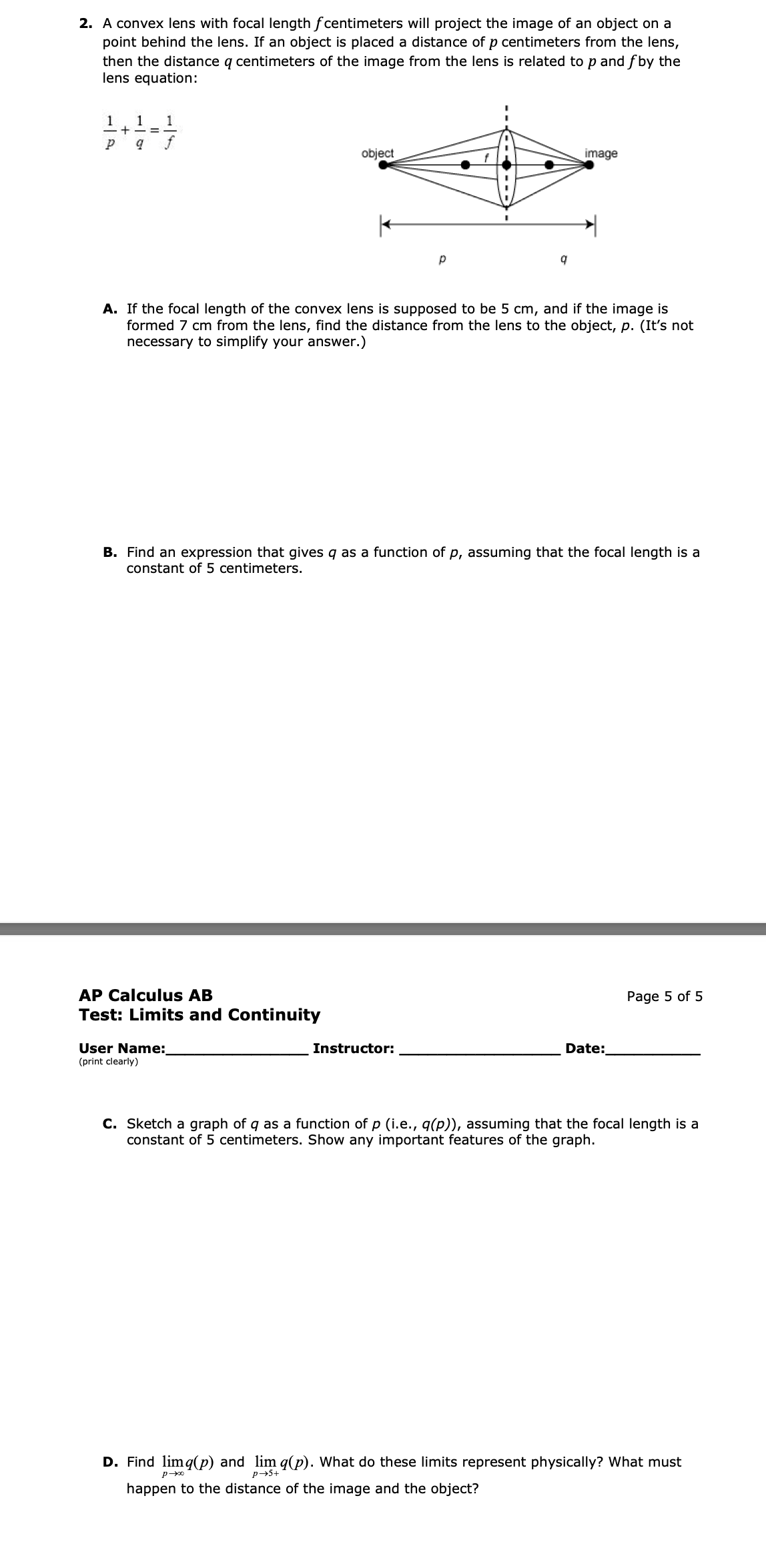
Showing 200 - 300 of 1501
  • 3 / 16