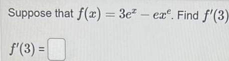
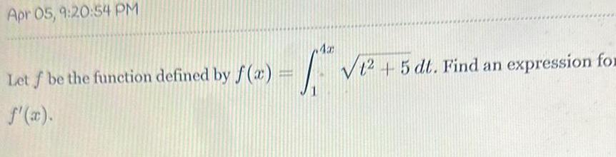
Mathematics Questions and Answers February 03, 2020

Expert-verified solutions to help you succeed

Showing 400 - 500 of 1501
  • 5 / 16