Mathematics Questions and Answers January 03, 2020

Expert-verified solutions to help you succeed

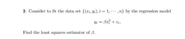
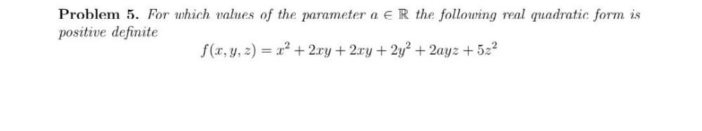
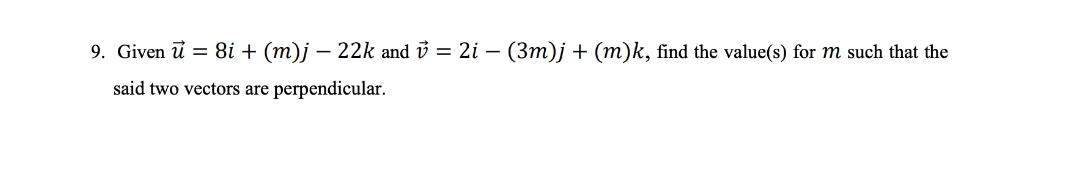
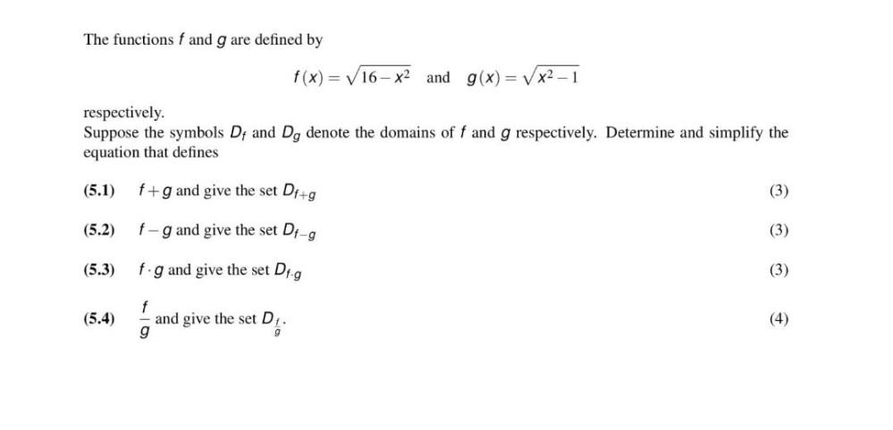
Showing 200 - 300 of 1502
  • 3 / 16