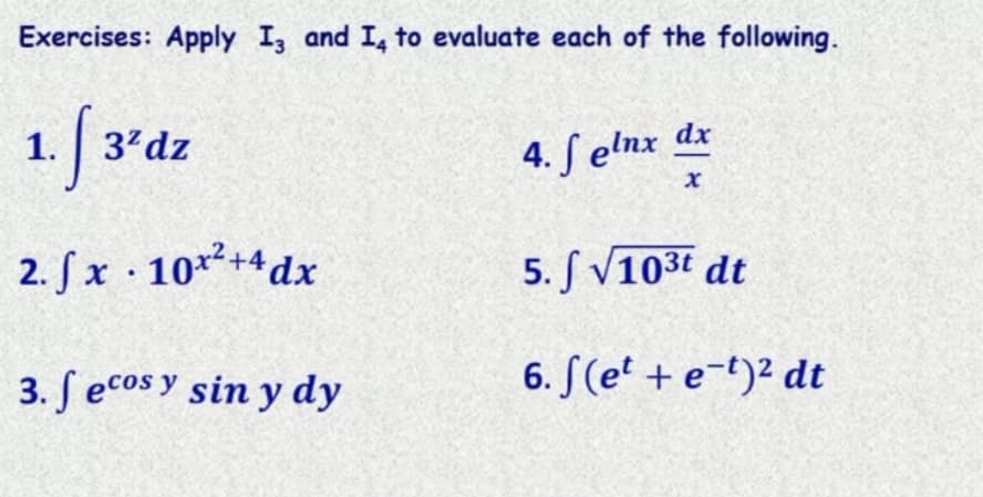
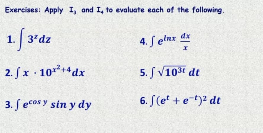
Mathematics Questions and Answers January 24, 2020

Expert-verified solutions to help you succeed

Showing 500 - 600 of 1503
  • 6 / 16