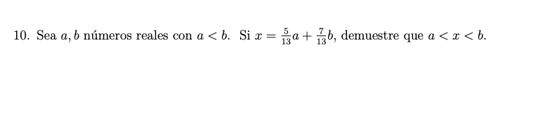
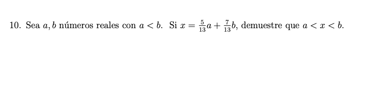
Mathematics Questions and Answers July 10, 2020

Expert-verified solutions to help you succeed

Showing 500 - 600 of 1500
  • 6 / 15