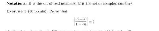
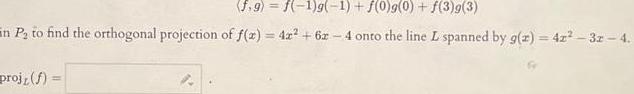
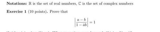
Mathematics Questions and Answers July 13, 2020

Expert-verified solutions to help you succeed

Showing 400 - 500 of 1500
  • 5 / 15