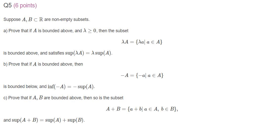
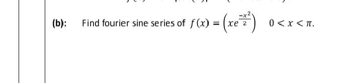
Mathematics Questions and Answers June 04, 2020

Expert-verified solutions to help you succeed

Showing 1 - 100 of 1506
  • 1 / 16