Mathematics Questions and Answers June 06, 2020

Expert-verified solutions to help you succeed

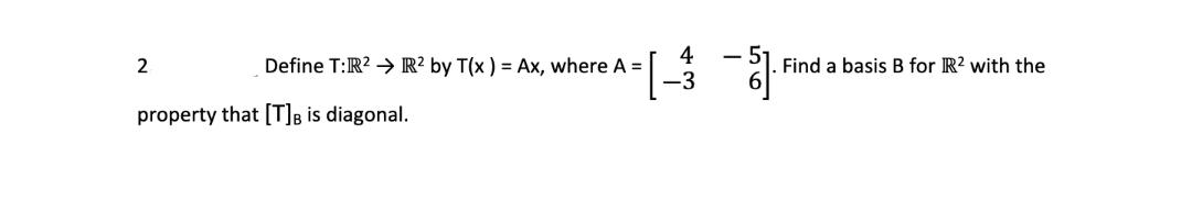
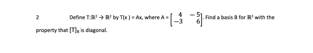
Showing 400 - 500 of 1504
  • 5 / 16