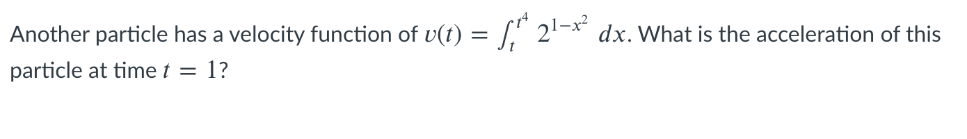
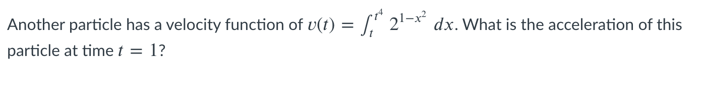
Mathematics Questions and Answers June 09, 2020

Expert-verified solutions to help you succeed

Showing 500 - 600 of 1506
  • 6 / 16