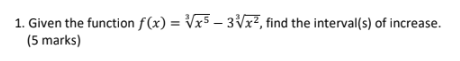
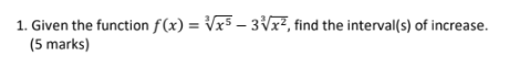
Mathematics Questions and Answers June 16, 2020

Expert-verified solutions to help you succeed

Showing 1400 - 1500 of 1501
  • 15 / 16